本刊专稿

2024年原子核物理科技热点回眸

  • 马余刚 , 1, 2 ,
  • 王思敏 1, 2
展开
  • 1. 复旦大学现代物理研究所, 核物理与离子束应用教育部重点实验室, 上海 200433
  • 2. 国家自然科学基金委理论物理专款-上海核物理理论研究中心, 上海 200438

马余刚,教授,中国科学院院士,研究方向为原子核物理,电子信箱:

收稿日期: 2025-01-22

  网络出版日期: 2025-05-13

基金资助

国家自然科学基金项目(12147101)

国家自然科学基金项目(11925502)

国家自然科学基金项目(11935001)

国家自然科学基金项目(11961141003)

国家自然科学基金项目(11890714)

版权

版权所有,未经授权,不得转载。

Review of the frontiers and hot topics of nuclear physics in 2024

  • Yugang MA , 1, 2 ,
  • Simin WANG 1, 2
Expand
  • 1. Key Laboratory of Nuclear Physics and Ion-beam Application (MOE), Institute of Modern Physics, Fudan University, Shanghai 200433, China
  • 2. Shanghai Research Center for Theoretical Nuclear Physics, NSFC and Fudan University, Shanghai 200438, China

Received date: 2025-01-22

  Online published: 2025-05-13

Copyright

All rights reserved. Unauthorized reproduction is prohibited.

摘要

简要回顾2024年原子核物理科技发展的前沿与热点,放射性核束物理,相对论重离子碰撞物理,中低能与高能的交叉、无中微子双贝塔衰变、超精细结构、核钟、核物质状态方程与核天体物理等交叉学科及核医学等方向,其中有涉及理论的拓展也有实验的突破,这些原子核物理学的发展不断地推动我们对物质基本构成和宇宙演化的深入理解。

本文引用格式

马余刚 , 王思敏 . 2024年原子核物理科技热点回眸[J]. 科技导报, 2025 , 43(7) : 21 -47 . DOI: 10.3981/j.issn.1000-7857.2025.01.00105

核科学的研究一直以来是物质科学的前沿。在100多年以来的发展中,原子核物理迎来第二次量子革命。从极微观的量子新形态,到极宏观的核天体演化,再到核医疗、核聚变等重大应用,原子核物理不断地朝着极端条件发展。通过研究这些极端状态下的量子多体系统,可以让人们更加深入研究各种基本相互作用,以及量子多体关联。
特别地,作为中低能核物理学的核心问题之一——原子核结构的研究对于人们理解强相互作用以及色禁闭后核力都有着重要作用。人们通过大型核科学研究装置,不断地向原子核滴线以及超重核迈进[1]。通过原子核版图的拓展,大量新的现象将为极端条件下的开放量子体系的相关研究提供重要的依据。2024年原子核物理有着诸多进展,为解开核力和核子之间复杂相互作用提供了更为精细的实验数据和理论框架。
在高能核物理中,夸克–胶子等离子体(QGP)作为强相互作用的极端状态,一直是重离子碰撞实验的研究重点。科学家们通过高能重离子碰撞实验,研究了夸克–胶子等离子体的短程结构、喷注动力学等现象,为理解早期宇宙的物质状态及强相互作用机制提供了实验依据。这些研究不仅推动了高能核物理的发展,也为探寻宇宙大爆炸后数微秒内的物质状态提供了重要线索。
与此同时,核天体物理学的进展也引起了广泛关注。2024年对重核同位素、超重元素和中子星等极端环境下的物质进行了系统研究,揭示了在极端条件下原子核的形变、衰变等特性。特别是在缺中子区域,研究者发现一些中子数较少的重核显示出异常的稳定性,触发了人们对核结构和衰变机制的重新评估。这不仅有助于理解宇宙中元素的形成过程,也为未来的核能研究和技术应用提供了理论基础。
原子核物理的另一重要拓展的方向是对粒子物理标准模型的验证。通过对中微子的性质及其衰变模式的深入研究,2024年的研究为粒子物理学中许多未解之谜提供了新答案。尤其是关于中微子质量、类型及其相互作用的实验探索,有望对现有粒子物理理论产生深远影响。此外,核力模型、反物质及手征对称性的研究也在深化我们对自然界基本对称性和守恒定律的理解。
2024年的核物理研究成果不仅加深了我们对物质基本构成的理解,还加速了多学科交叉合作的发展[2]。随着大科学装置的持续升级与新技术的应用,核物理学将在未来为基础科学、能源开发、医学应用等领域做出更加深远的贡献。当前的进展为探索量子力学和相对论相互作用的深层次问题奠定了基础,预示着原子核物理在未来的无限可能。

1 放射性核束物理

在原子核素图中,当前大约有3000多种核素已经被发现,而理论预言所存在的核素大约10000种,这里面大量的未知领域将被新一代核科学装置所覆盖与研究,是未来几十年放射性核束物理的重点研究方向[39]。一方面,如何产生极端条件下的滴线区核素,如何研究其中的奇特结构,是当前实验核物理的热点与前沿;另一方面,对理论来说,如何构建有效且可预言的微观理论,如何解释其中发现的新现象、新物理,则是一个巨大的挑战。为了能够更有效地研究滴线区的奇异核素,更深入理解极端条件下的开放量子多体系统,需要理论与实验紧密结合。而2024年的研究成果也突出体现了这一特点。

1.1 原子核壳层结构与幻数

约75年前,从玛丽亚·格佩特–梅耶(Maria Go–eppert–Mayer)和汉斯·延森(Hans Jensen)提出原子核壳模型并获得诺贝尔物理学奖以来,壳层结构理论一直在原子核结构中起到重要作用。与之相关的,幻数是指核壳模型中,核子在这些能级上完全填满时,原子核的稳定性最强。而验证幻数是否在极端条件下仍然成立,或者是否有新幻数的出现,一直以来吸引了大量的理论与实验研究。
例如,在缺中子区,原子核中的中子数低于其稳定同位素所对应的标准中子数。对于一些重元素(如铱和钨),在中子亏缺的情况下,核的稳定性通常较差。这些核往往会发生衰变,释放能量以达到更稳定的状态。然而,某些核在中子亏缺区域依然能够显示出异常的稳定性,这可能与其核壳结构的特殊性质有关。特别的,N=82是一个非常典型的中子幻数,即在中子数为82时,核子处于一个非常稳定的配置中,这使得该壳层在许多核物理现象中成为研究的焦点。
2024年,中国科学院近代物理研究所的研究人员利用熔合蒸发反应首次鉴别了160Os和156W核[10],它们代表了迄今为止最富含质子的N=84和N=82核素。160Os的α衰变测量被确定为来自基态(图 1[10]),子核156W是β+发射体。根据新测量的α衰变数据,能够推导出从N=84同中子素到Os(Z=84)的α衰变宽度减小,发现当Z=84以上时,该宽度随原子序数的增加而减小。这被解释为N=82壳层闭合向质子滴线加强的证据,理论模型预测的中子壳层间隙增加也支持了这一观点。同时,在N=Z=50附近,存在着目前已知最重的质子、中子相同的双幻核100Sn,而这周围的核景观展现出丰富多样的核结构现象。该区域原子核的基本核特性(如结合能)对于探测N=Z=50的壳层闭合和单粒子能级的演变至关重要。
图1 160Os的衰变纲图
为了验证这些性质,中国的核物理工作者,使用位于于韦斯屈莱大学加速器实验室的同位素分离在线装置(IGISOL设施)与彭宁阱质谱仪对N=Z附近的基态95−97Ag核以及96Ag同核异能态进行了高精度质量测量[11],直接测得了95Ag的原子质量,并首次识别并测定了96Ag中由β衰变产生的2+和8+态的原子质量(图 2[11])。基于新测得的质量文章,研究了N=50中子壳层间隙,结果表明,该间隙非常稳定。
图2 96Ag的部分能谱与理论结果
从新的基态质量数据中,提取了有效壳层间隙和对能,并将其与基于各种手征有效场论哈密顿量的先进第一性原理计算[12]、密度泛函理论、组态相互作用壳模型的计算等结果进行了比较,结果发现,所有的理论方法,在再现跨越N=50中子壳隙并延伸至质子滴线的银同位素的基态性质方面,都面临着挑战。
壳效应还会影响原子核的大小和形状,正如轻核素中的谱学研究所示。然而,关于重铀系元素的电荷半径和核矩的信息较为稀缺,这些元素连接了最重的天然丰度核素和人工合成的超重元素。也有研究展示了沿镄(Z=100)同位素链的谱学测量,并扩展了锕系(Z=102)同位素链的关键区域数据[13]。多种生产方案和先进技术被应用于确定跃迁中的同位素偏移,从中提取了核均方电荷半径的变化。基于能量密度泛函的多种核模型很好地再现了核大小的平滑演化。模型预测的一致性和不同同位素的预测相似性表明,壳效应在这些较重的核素上对核素大小的影响较轻核素有所减弱。

1.2 超重核与核形变

对于超重原子核,理论上预言存在着新的幻数,在该幻数附近原子核可能相对稳定,形成稳定岛。稳定岛是周期表中的一个区域,预计位于尚未发现的120号元素周围,该区域的元素相较于其他超重元素具有更强的稳定性。朝着预言的“稳定岛”方向合成超重核(SHN)是当前核物理的研究热点(图 3[14])。超重核的单粒子结构对于确定“稳定岛”的位置起着至关重要的作用。近年来,原子序数从Z=113到Z=118的超重核相继被发现。
到目前为止合成的最重元素是通过用钙(48Ca)束流轰击高原子序数锕系靶来实现的。这种同位素非常适合这类实验,因为在它的核构型中,中子和质子的数量都是“幻数”。然而,这种方法无法产生超过Og(质子数Z=118)的元素。加利福尼亚州劳伦斯伯克利国家实验室(LBNL)的一个团队使用50Ca束合成了一种超重元素290Lv(Z=116)[15]。该同位素的生成并不需要弹核是双幻数核的限制,这为合成超过118号元素开辟了新途径[14]
另一方面,新的核科学装置的运用也为这一目标的实现提供了重要帮助。密歇根州立大学稀有同位素束流设施(FRIB)的研究人员已经在重质量区合成5种前所未见的稀有同位素(图 4[16]),它们都包含高数量的中子[17]。这一成就是在该设施开放几个月后取得的,且是在设备仅部分运作的情况下完成的,这使得FRIB的科学家推测,这些发现仅是未来无数发现的开始。“我们证明了可以在不到一年的时间内找到新的稀有同位素,”FRIB的科学主任、这项同位素发现研究的共同发言人Alexandra Gade说道,“这显示了未来实验的巨大潜力”。
图4 新发现的5种富中子同位素
但由于超重核的产生截面很小,到目前为止,人们只知道主要的衰变模式、寿命等基本性质,而无法在实验中直接获得超重核的单粒子结构。幸运的是,由于变形效应,在Z=100和N=152处变形壳层间隙附近的原子核中,决定“稳定岛”位置的单粒子轨道接近费米面。因此,对该区域原子核的光谱实验可以为超重核单粒子结构提供重要信息。人们已经利用束流、同质异能体和衰变光谱实验研究了253Fm、251Md、252,254No、255Lr和254,256Rf等超重核的转动带。尤其是,2个邻近核252No(N=150)和254No(N=152)的转动带引起了人们的极大关注,因为它们在高角动量下表现出明显不同的转动行为。然而,其潜在机制成谜。
通过在三维空间的协变密度泛函理论和壳模型方法,研究了全变形空间中超重核的旋转特性,以微观和自洽的方式处理了配对关联、变形和转动惯量[1819]。无需任何可调参数,即可很好地再现超镄核252,254No和254,256Rf中观测到的旋转带的运动学和动态转动惯量。该研究首次发现,八极变形的出现应该是 252No和254No中观察到的显著不同转动行为的原因(图 5[18])。该研究结果为长期存在的No同位素转动行为之谜提供了微观解决方案。
图5 计算的252,254No的八级形变与转动能谱
另一方面,形状是原子核最基本的性质之一,原子核通常具有球形,但在非满壳层的原子核中或出现形变。绝大多数的形变核都是以轴对称的四极形变(椭球形)为主。而实验上,原子核手征带和摇摆带的分别发现,为原子核存在三轴形变提供了直接的实验证据[20]。手征对称性通常描述的是在强相互作用下,夸克和胶子的行为类似于经典的旋转物体的对称性。在低能的核物理中,这种对称性可能会受到破缺,导致粒子或核子在能谱上展现出特殊的行为。但原子核的手征和摇摆运动模式是否可以在同一个原子核共存,仍有疑问。
山东大学、北京大学等的研究团队在${ }_{35}^{74} \mathrm{Br}_{39}$中发现了3个具有 $\pi g_{9 / 2} \otimes v g_{9 / 2}$组态的∆I=1带[21]。通过对角分布、线性极化和寿命的测量,确定了跃迁的多极性、类型、混合比和绝对跃迁概率。通过将实验测量结果和手征带、摇摆带的实验判据以及量子化的粒子转子模型计算结果进行对比,第二条和第三条带被分别指定为晕带的手征伙伴带和一声子摇摆激发带(图 6[21])。这是在核系统中第一次观测到2种三轴形变的直接实验证据在同一组态下的共存,表明原子核的手征对称几何可以鲁棒摇摆激发。同时,摆动模式的存在首次被扩展到A≈80质量区域和奇–奇核(质子数和中子数都为奇数的原子核)。这一发现为研究单核中的手性和摆动模式提供了一个独特的候选对象,体现了原子核角动量耦合模式的多样性和复杂性。为研究A≈80质量区域的基本对称性破缺开辟了一个新领域。
图6 原子核74Br39的能谱与跃迁性质
对于轻核区的原子核,这种形变对称性破缺则可能体现为集团结构并导致闯入态等奇特现象的出现[2223]。特别地,南方科技大学的课题组通过在10Be的氘核非弹性散射反应中,观测到了α衰变阈值附近的1−共振态,其激发能为7.27(10)MeV。同时通过理论研究,发现该共振态伴随着增强的偶极跃迁强度。该工作发表在《Physical Review Letters》[24],体现了阈值效应与集团结构对共振态的产生尤为重要。
另一方面,具有奇特结构的原子核,其激发态也可能伴随着各种集体运动模式,除了比较熟知的质子中子间相对运动形成的巨偶极共振,还有许多其他可能的模式,其中包括环形偶极共振(toroidal dipole mode,TDR)。环形偶极共振在50年前就已被预测,它涉及质子和中子沿着形成核内环形体的嵌套环路振荡(图 7[25])。但这种共振至今尚未被明确检测到。
图7 环形偶极共振示意
如果一个原子核被具有适当能量的粒子击中,它可以使原子核中的质子和中子相互晃动。一般来说,电磁散射发射出的带电粒子的相互作用有2个部分:一个是“纵向”的,源于核内电荷的分布;另一个是“横向”的,源于电流分布。如果一个电子激发了TDR,质子的前后晃动会导致电子的散射截面具有横向成分。但是,这样的横向成分并不仅由TDR产生。为了确信看到TDR,理论描述必须预测电子、质子和伽马射线的散射截面[25]
德国达姆施塔特工业大学的研究人员使用密度泛函理论,发展出环形偶极共振的理论描述。并对电子、质子和伽马射线数据进行了预测,与镍–58核散射实验的结果相匹配[26]。但在宣布确定找到TDR之前,仍需要测量更多的核,尤其是重核。

1.3 原子核衰变

位于极端失衡的原子核滴线区,各类奇异的衰变也容易发生。β缓发的中子发射(βn)被解释为发生在丰中子原子核中的2步连续衰变过程。通过β衰变形成高激发的中间核,再通过中子发射进行衰变。由于β缓发的中子发射的复杂性,理论描述长期以来一直依赖于玻尔的复合核假设,该假设认为中子发射仅取决于其自旋、宇称和激发能,与形成过程无关。
目前,已建立的理论框架都是分2步计算β缓发的中子发射。首先,使用微观模型(例如准粒子随机相位近似或原子核壳层模型)计算β衰变的强度分布。然后,用统计的Hauser–Feshbach理论和复合核的隐式假设,使用选定的光学势模型(OMP)计算来估计子核中高于阈值(Sn)的中子透射系数。该方法已用于预测总体β衰变特性,例如中重核区的β缓发的中子发射概率(Pn),与已知中等和重质量核的实验数据取得了一定的一致性。直到最近,基于实验数据,潜在的复合核假设才再次受到质疑:似乎观察到的134Sn激发态中子发射与母核134In衰变中状态的结构有关。
中国学者基于欧洲核子中心(CERN)的同位素质量分离器(ISOLDE)衰变实验终端,研究了51,52,53K的衰变[27]图 8),旨在理解β缓发的中子发射机制。实验定量给出了每个β衰变过程之后的中子和γ射线发射路径。利用这些信息,检验了玻尔在1939年首次提出的假说,即β缓发的中子发射过程中的中子来源于无结构的“复合核”。对于大多数观测到的衰变路径,实验数据与玻尔的假说相符。然而,这一结果是令人惊讶的,因为在他们所研究的β衰变中,由于中子发射核的激发能和能级密度不够,不应该存在复合核阶段。在53K的β缓发的中子衰变中,研究发现 52Ca的第一激发态会被优先布居,这与玻尔的假说矛盾。后者被视为直接中子发射(对中子非束缚态的结构非常敏感)的证据。研究指出,观测到的非统计中子发射是通过与具有高中子发射概率的近门态耦合进行的。“复合核”衰变的出现是更高能量处的多重态小贡献的累计导致的。
图8 原子核53K有关β缓发的中子发射的单粒子能级示意(a)与Iβn能量分布(b)
同时,在轻核区,最富中子的铍同位素16Be的奇特结构和衰变模式也通过17B的质子敲出反应进行了研究[28]。首次观察到2个阈值之上相对狭窄的共振态,并且2个态均观察到直接的双中子发射衰变。通过与理论计算的核子关联对比表明(图 9[28]),该衰变过程是一个真正的三体过程。该工作被《Physical Review Letters》编辑推荐,对人们了解极端条件下的核子关联与开放量子体系的衰变性质有重要意义。
图9 原子核16Be基态(左)与第一激发态(右)中的核子–核子关联
另一方面,有关原子核衰变的探测技术也在不断发展。耶鲁大学的研究团队利用动量守恒原理,研究了放射性原子发射α粒子的衰变过程[29]。实验中,他们将二氧化硅微球悬浮在高真空中,微球表面植入了少量放射性铅–212原子(每个微球表面约60 nm范围内有几十个原子)。通过光学镊子技术,使用聚焦激光束将微球悬浮,并利用激光的圆偏振使微球以高频率旋转,从而固定其旋转轴。
接着,实验室将微球所在的腔体抽至约10-10大气压,以最大程度减少摩擦。研究人员通过电学和光学2种方法同时监测微球(图 10[30])。电学方法检测微球对振荡电场的响应,从而确定它携带的电荷变化,任何电荷变化表明核衰变导致了带电粒子的射出;而光学方法则通过微球散射的光追踪其运动,精确重构微球的反冲数据实验结果显示,α衰变能够通过微球上的反冲信号检测到,微球的质量是衰变产物的1012倍。通过测量反冲和电荷,研究团队提高了灵敏度,能够检测到每天发生一次的衰变事件。该技术能够提高对中微子或暗物质等非相互作用粒子衰变产物的探测灵敏度,解决了传统衰变探测器的局限,尤其适用于检测那些难以与探测介质相互作用的粒子。
图10 光学陷阱中检测到来自微球中的核衰变
而作为尚未被发现的奇特衰变之一,暗衰变被认为能够解释中子半衰期之谜,即瓶装实验和束流实验所得的半衰期系统性差异。同时,在晕核中,价中子与核心退耦合,形成松散的结构,为搜索暗物质候选粒子提供了可能。末态中的自由中子衰变将提供一个异常干净的探测信号,当与高效的中子探测器结合时,能够提供高灵敏度的检测。法国大型离子加速器(GANIL)上,研究人员通过利用高强度束流进行实验,搜索到与中子信号同时发生的事件[31],从而得出了暗衰变分支比的上限(95% 置信水平)。并通过暗中子衰变模型,将这一结果转化为暗中子分支比的上限。根据不同的假设,这一限制比之前的结果改善了一个到几个数量级。

1.4 质量测量

质量,是原子核的一种非常基本且重要的性质。原子核集中了原子99.9% 以上的质量,而各种各样的原子构成了我们所处的物质世界,因此可以说,是原子核承载了自然万物的质量。另一方面,原子核是多种相互作用的集合体,有着纷繁复杂的结构。科学家们从不同维度,用不同方法来研究原子核的结构,试图通过了解这种微观的内在属性,来揭示宇宙万物的运行规律。近些年,通过研究发现,原子核质量的测量也可以成为揭示原子核内部结构的独特手段。
在2022年5月,密歇根州立大学的FRIB启动了其精密测量计划。FRIB的低能束流和离子阱(LEBIT)设施的工作人员将在FRIB生成的高能稀有同位素束冷却至较低能态。之后,研究人员高精度测量特定粒子的质量。2024年,LEBIT团队利用该设施验证铝–22的质量,并在《Physical Review Letters》上发表了其研究结果[32]。研究人员认为这种奇异同位素显示出一种罕见但有趣的特性——具体来说,核外围被松散轨道的质子“晕”所环绕。这种晕结构在其短暂存在期间显示出独特的物理特性。
同时,利用兰州重离子加速器冷却储存环,中国科学院近代物理研究所的研究人员首创了“磁刚度识别等时性质谱术”(图 11[33]),并首次测量了23Si、26P、27S和31Ar的质量,并将28S的质量精度提高了11倍。利用新的原子核质量数据,研究团队确定了磷、硫和氩元素的质子滴线。
图11 用于储存离子的兰州重离子加速器冷却储存环及其配备的飞行时间探测器示意
基于这些新质量数据,还提取了一种叫做“镜像能量差”的物理量。这个物理量反映了一对镜像核(也就是质子数和中子数互换的一对原子核)之间核子结合方式的差异。如果质子数较多的原子核具有质子晕结构,而中子数较多的镜像核没有晕结构,就会呈现出镜像对称性破缺,进而在这个物理量上体现出差异。利用镜像能量差,研究团队发现靠近质子滴线的原子核中确实出现了镜像对称性破缺。这背后的物理原因是这些原子核中可能存在质子晕结构,该结论得到了相关理论计算的支持。该工作是基于原子核质量揭示质子晕结构的新方法,成果被发表在《Physical Review Letters》上[34]
通过该方法,表明31Ar是一个双质子晕核,它最外层的2个质子会形成松散的质子晕(图 12)。此外,研究还支持26P、27,28S等质子晕候选核中存在质子晕,并指出22Al的第一个1+激发态具有质子晕结构等。这些结论为未来有针对性地开展质子晕有关的实验和理论研究指明了方向。
图12 镜像核31Ar(左)和31Al(右)的核子分布想象

(图片来源:中国科学院近代物理研究所)

同时,对质量数不同的邻近原子核的质量研究也可以提取出有关核力等信息。例如,双结合能差δVpn是原子核的一个重要的质量过滤器,常用于分离剩余的质子–中子(pn)相互作用。它与许多原子核结构现象密切相关。研究δVpn,特别是质子数和中子数相等的原子核,深化对核力的理解具有重要意义。一项实验报告了异常分叉,即从Ni到Rb的偶–偶(质子数与中子数都是偶数的原子核)和奇–奇N=Z核中双结合能差δVpn随质量数的演化趋势相反[35],这对核理论提出了挑战。为了解决这个问题,国内的研究人员建立了一种基于相对论密度泛函理论的类壳模型方法[36],同时从微观和自洽的角度处理中子–中子、质子–中子和质子–质子的配对关联。无需任何特殊参数,计算结果很好地重现了观测结果(图 13[36]),发现这种异常分叉的机制是由于奇–奇N=Z核中的质子–中子配对关联比偶偶核中的增强。本结果对反常δVpn分叉提供了很好的解释,并为靠近N=Z线的原子核存在质子–中子配对关联提供了明确的信号。以上研究表明,原子核质量可以作为探测镜像对称性破缺、揭示质子晕结构等物理量的灵敏探针,有助于揭示原子核的奇异结构。
图13 理论计算的从Ni到Rb的偶–偶和奇–奇N=Z核中双结合能差δVpn与实验对比
同时,镜像核中的电荷半径差异也能帮助了解核物质状态方程与中子星的性质。添加或去除原子核中的中子会导致原子核大小的变化,从而引起原子电子能级的微小变化,这种现象称为同位素位移。科学家可以通过精确测量这些能级的变化来测量同位素的核半径。
在最近的一项研究中,研究人员使用激光辅助技术测量了稳定硅同位素硅–28、硅–29和硅–30的核半径。他们还测量了不稳定的硅–32核的半径,该同位素有14个质子和18个中子。研究人员通过比较硅–32核与其镜像核氩–32(具有18个质子和14个中子)的半径差异,设定了描述天体物理学物体(如中子星)物理特性的变量的限制(图 14[37])。这些结果为发展核理论——即研究原子核及其组成部分——迈出了重要的一步[3738]。该结果为核理论的发展提供了一个重要的基准。硅–32核与其镜像核氩–32之间的电荷半径差异被用来限制描述中子星内密集中子物质特性的必要参数。获得的结果与来自引力波观测和其他互补观测的限制一致。
图14 镜像核中的电荷半径差异能够帮助了解核物质状态方程与中子星的性质
在理论与实验结合方面,理论家们计算原子核性质时常常关注一部分核子(质子和中子),并假设这些粒子具有“有效电荷”,以某种方式补偿被忽略的所有核子与模型空间。然而,选择合适的有效电荷可能具有挑战性,往往依赖于理论模型。现在,西班牙物质结构研究所的研究人员提供了明确的实验证据,表明有效电荷依赖于同位旋——中子与质子的比例,并以明确的方式测量了这种依赖性[39]。这一新信息应该能提高对丰质子重核的计算精度。该实验在日本理化研究所完成(图 15[40]),研究人员观察到当铀束与铍靶碰撞时产生的镉–130核。结合壳模型计算和新数据及以前的数据,确定了这种中子富核的有效质子电荷为+1.35,与镉–98的+1.17相比,表明有效电荷的同位旋依赖性出乎意料地强。
图15 日本理化研究所RIKEN的核科学装置

(图片来源:RIKEN)

2 相对论重离子碰撞物理

夸克–胶子等离子体是QCD物质的一种高温高密度状态,在这种状态下,夸克和胶子不再被束缚在强子内,而是自由地存在于一个类似“液体”的介质中。夸克–胶子等离子体被普遍认为存在于早期宇宙中,对它的产生研究是一个重要的课题,尤其是它的性质和行为对理解强相互作用的基本机制至关重要。
在高能核物理实验中,重离子碰撞(如铅–铅碰撞或金–金碰撞)被用来模拟早期宇宙中的极端条件,以产生和研究夸克–胶子等离子体[4145]。在这些碰撞中,原子核被加速至接近光速。然后碰撞并产生非常高温高密度的环境,这为研究夸克–胶子等离子体的性质提供了理想的实验条件。

2.1 能量关联

喷注(jets)是由高能夸克或胶子在碰撞中产生并快速向外扩展的粒子束。喷注中的粒子通过与夸克–胶子等离子体介质的相互作用(如能量损失、散射等)发生演化,导致喷注形态和分布发生改变。喷注演化的研究不仅是探测高能重离子碰撞中夸克–胶子等离子体特性的有力工具,还可以为揭示强相互作用的基本机制提供重要信息。喷注的形态和能量分布能够反映出介质的密度、温度以及其他重要的物理量。
能量–能量关联函数(EECs)是一种用于研究喷注动力学状态和介质效应的观测量。通过分析喷注中粒子的能量和角度之间的相关性,可以探测喷注在夸克–胶子等离子体中的演化过程。尤其是,能量关联函数可以揭示喷注与夸克–胶子等离子体之间的相互作用,例如在大角度下通过弹性散射增强喷注信号,而在小角度下则由于喷注的能量损失和横向动量扩展而表现出抑制效应。通过精确测量和计算能量关联函数,研究人员能够推断夸克–胶子等离子体的性质,特别是夸克–胶子等离子体中短距离相互作用的尺度以及喷注的能量损失机制。
核物理研究人员使用线性玻尔兹曼输运(LBT)和更现实的耦合LBT(CoLBT)模型,完整计算了高能重离子碰撞中γ喷流的能量关联函数[46]。并通过分析喷注诱导介质响应、介质诱导胶子发射和多次散射导致的部分子能量损失的影响,来剖析末态分布背后的不同动力学。发现重离子碰撞中γ喷注的能量关联函数是由介质响应的弹性散射而非大角度诱导胶子辐射增强的。同时,由于喷流部分子的能量损失和横向动量展宽,在小角度抑制了能量关联函数。进一步表明这些修正对介质内相互作用的角度尺度很敏感。对此类修正的实验验证和测量将揭示重离子碰撞中夸克–胶子等离子体的短距离结构(图 16[46])。
图16 从末态喷注角度谱与能量流中提取夸克–胶子等离子体短程结构示意
另一方面,对喷注中的能量关联的测量也可以帮助确定强耦合常数。在高能质子–质子(pp)碰撞中,夸克和胶子会经历辐射和强子化过程,从而产生可以聚集在喷注中的强子。大型强子对撞机(LHC)的碰撞产生了前所未有的大量包含喷注的事件,涵盖了广泛的能量范围。对喷注的研究提供了有关量子色动力学(QCD)描述的强相互作用的信息。喷注子结构已在LHC上得到广泛研究。将喷注子结构可观测量的高精度测量与蒙特卡洛(MC)模拟和微扰量子色动力学(pQCD)计算进行比较,可以提高对量子色动力学的理解,进而确定强耦合系数αS
通过紧凑缪子线圈(compact muon solenoid,CMS)探测器实验收集的 $\sqrt{s}=13 \mathrm{TeV}$质子–质子碰撞事件样本,可以提取强子喷注中粒子间的能量关联[47]。测得的分布与模拟中的趋势一致(图 17[47]),揭示了强相互作用的2个关键特征:约束和渐近自由。通过将测得的三粒子和两粒子能量关联分布之比与理论计算进行比较,确定了Z玻色子质量处的强耦合,这是使用喷注子结构可观测量获得的最精确的αS(mZ)值。
图17 从实验测量的E3C/E2C比值提取的αS值与理论对比
夸克–胶子等离子体这种极端条件下的物质状态可以近似地看成流体,一般这种流体的粘滞系数非常低[48]。在《 Physical Review Letters》上发表的研究中[49],理论物理学家系统地研究了这种粘滞系数在广泛的碰撞能量范围内的变化,发现随着净重子密度的增加,流体的粘滞系数也会增加(图 18)。
图18 模拟的金–金碰撞中流体性质随重子数变化

(图片来源:美国韦恩州立大学)

这项研究使用了先进的三维黏性流体动力学模拟和碰撞初始阶段的动态模型,描述了在相对论重离子对撞机(RHIC)进行的金–金重离子碰撞。研究团队在RHIC的束流能量扫描(BES)期间收集的数据基础上,对模型参数进行了调整和限制及统计分析。这种基于数据的分析研究了粘度如何依赖于净重子密度,结果与理论计算相比较,为核物质相图研究提供了重要基准。此外,这一框架也将应用于RHIC的BES第二阶段和未来在欧洲的反质子和离子研究设施(FAIR)的测量。
而另一项有关粘滞系数的研究则通过结合从LHC铅–铅碰撞中获得的数据,与初态模型以及流体动力学模型的结合,进行了系统分析[50]。研究人员采用了贝叶斯模型平均和迁移学习技术,从而能够考虑流体动力学到强子过渡过程中的理论不确定性。
研究表明,剪切粘度对该物理过程有较强的约束,但对符合数据的理论模型指标并不偏好温度依赖的剪切粘度,而是倾向于使用常数值的剪切粘度。为了验证模型的有效性,研究人员将其与未用于标定的判别性可观测量进行了比较,结果表明模型与实际数据高度一致。
同时,在粒子对撞机中,科学家们通过比较精确的实验测量结果与标准模型的预测之间的微小偏差来寻找新物理的迹象。通常质子碰撞产物粒子流是一群高能粒子沿各种方向流动形成的离散团簇。然而,新物理现象也可能以低能粒子的球形均匀分布出现,称为软未聚类能量模式(SUEP)。目前,欧洲LHC的CMS合作组已经进行了首次对SUEP的搜索[51],但没有发现任何迹象。
SUEP由标准模型的某些假设性扩展预测。这些理论有关尚未观测到的暗物质粒子,这些粒子让人联想到标准模型中的夸克和胶子。粒子碰撞偶尔可能产生这样的暗物质粒子。与标准模型的夸克不同,这些暗物质变体可以均匀地向所有方向发射许多低能量的暗物质子粒子[52]。其中一些暗物质子粒子可能会衰变回标准模型粒子,CMS探测器有可能将其检测为SUEP。CMS团队选择了那些呈球形分布的事件。他们测量的数量没有超过标准模型的预测,CMS的科学家表示,已经使用LHC进行的持续碰撞的额外数据,进行更精确的SUEP搜索。

2.2 高能核–核碰撞反应机制与动力学研究

在早期宇宙中,如氘(d)和氦(3He和4He)等轻核元素主要是在大爆炸核合成期间通过一系列的两体反应(如p+nd+γ)形成的,当时的温度低于1 MeV(1.2×1010 K)。高能核–核碰撞可以产生物质和反物质,为轻核和反轻核的合成提供了一个独特的场所[53],温度可达到T≈100 MeV的数量级。在这些瞬时碰撞的“小爆炸”中,创造了几乎无黏度的夸克–胶子等离子体。科学家们认为这种等离子体状态存在于大爆炸后的几微秒内的早期宇宙中。这种“小爆炸核合成”现象与物质–反物质不对称性的起源、暗物质寻找等基础物理关系紧密,因而理解其微观机制具有重要的理论和现实意义[54]
在重离子碰撞过程中产生的双轻子,是探测QCD相图的独特工具,它们传递了关于虚光子产生时刻强相互作用系统状态的信息。在最新的理论研究中,通过3+1维动态理论框架,结合微扰理论,计算了在不同能量下金–金碰撞产生的热双轻子产额[55]。通过比较从热双轻子不变质量谱提取的有效温度与流体的平均温度,该研究发现双轻子可以作为早期夸克–胶子等离子体阶段的有效探针,为未来利用双轻子进一步解析QCD相图开辟了新的可能性。
同时,复旦大学现代物理研究所马余刚、孙开佳课题组在小爆炸核合成理论方向取得重要进展,研究成果发表在《Nature Communications》上[56]。研究发现,如图 19所示,经过大约1×10-23 s的短暂预平衡阶段后,系统进入到夸克–胶子等离子体理想流体阶段,由退禁闭的夸克和胶子组成。然后,夸克–胶子等离子体遵循相对论流体力学演化、膨胀并发生强子化而转变为强子气体,随后是各种强子的再散射和共振衰变。量子色动力学,即物质世界的强相互作用理论,预测夸克–胶子等离子体到强子气体的转变是一个温度约为T=156.5±1.5 MeV的平滑过渡。基于传统统计强子化模型对末态强子产额的分析表明,轻(反)核是从夸克–胶子等离子中产生的,就像其他强子一样,它们的产额几乎不受后来的强子气体演化的影响。然而,该研究表明,基于包括强子再散射效应的相对论量子多体输运方法,特别是包括由π介子参与的多体反应(πNN↔πd, πNNN↔π3H和πNd↔π3H),发现高能重离子碰撞中氚的产量在强子化后强烈减少至原来的5/9。这一发现得到RHIC的STAR合作组(Solenoidal Tracker at RHIC)和LHC的欧洲核子中心国际高能核物理合作组(ALICE合作组)精确测量的支持,揭示了统计强子化模型在理解这些碰撞中氚核产生的不足之处,强调了强子气体阶段的微观动力学在小爆炸核合成中的重要作用。
图19 高能核–核碰撞的时间演化,从左到右显示了产生的热密物质经历的不同阶段
同时,ALICE合作组在 $\sqrt{s_{N N}}$=5.02 TeV的pp和中心Pb–Pb碰撞中,测量了由高横向动量(高pT)强子触发反冲所给出的带电粒子喷注的半单举分布[57]。他们通过数据驱动的统计方法来减弱中心Pb–Pb碰撞中大的非关联本底。在喷注横向动量为7 < pT; jet < 140 GeV/c和触发–反冲喷注方位角分离为π/2 < ∆ϕ < π范围内,针对喷注分辨率参数R=0.2、0.4和0.5的情况,给出了反冲喷注的分布(图 20[57])。在低横向动量和方位角偏离∆ϕπ很大时,测量结果表明存在着明显的介质诱导喷注产额增强。这种增强的特征在于它的∆ϕ依赖性,其斜率非零达到了4.7σ。该工作将测量结果与考虑了不同喷注淬火形式的模型计算进行了比较。这些比较表明,观测到的产额增强是由于夸克–胶子等离子体介质对喷注传播的响应所导致的。
图20 $\sqrt{s_{N N}}$=5.02 TeV的pp和中心Pb–Pb碰撞中反冲喷注的分布

2.3 反物质超核

超核是由核子和超子组成的束缚态体系,有助于人们理解影响中子星内部结构的超子–核子(Y–N)相互作用。如图 21[58]所示,最简单、最轻的超核是(反)超氚核,它可以理解为由一个(反)超子围绕着一对(反)核子的晕核结构。目前对(反)超氚的性质研究包括其质量、弱衰变的寿命以及结合能等。图 21展示了超氚核可能的自旋宇称有1/2+和3/2+两类,其中1/2+包括内部氘核(2H)自旋三重态与自旋单态两种类型,Λ超子为自旋1/2。然而,它的自旋以及自旋内部结构却缺少相关实验证据和理论研究。
图21 超氚核的自旋以及自旋内部结构示意
理论上重离子非对心碰撞(non–central collision)会产生一个巨大的轨道角动量,通过自旋–轨道的耦合可以把角动量传递给碰撞末态产生的粒子,使粒子的自旋方向更加倾向于沿着轨道角动量方向排布,即发生了极化现象[5964]。实验上,STAR国际合作组已经得到了实验证实[6568]。复旦大学马余刚、孙开佳团队在重离子碰撞中(反)超氚核的整体极化效应理论方面取得重要进展,研究建议可以用实验测量的超氚核的整体极化效应提取超氚的自旋内部结构以及在重离子碰撞中的极化产生机制。该研究率先从理论上将超核极化效应拓展至超核系统,认为重离子碰撞中产生的核子和超子通过自旋相关的并合机制形成超核时,超核的极化度将直接依赖于核子和超子的自旋极化度以及超核波函数的自旋结构。该工作计算了3种不同自旋结构的超氚在发生宇称破坏的弱衰变过程中转变为氦–3(3He)核并伴随π介子发射时的角分布,旨在为实验测量超氚核的极化度提供理论参考。相关成果在《Physical Review Letters》发表[58]
反物质是由反粒子组成的物质。当正物质与反物质相遇时,它们会发生湮灭,转化为纯能量。这一特性不仅在理论物理中具有深远意义,也为医学中的正电子发射断层扫描(PET)和未来的能源开发提供了潜在应用。
然而,宇宙中几乎完全由正物质组成,而反物质非常稀少的现象,即正反物质的不对称性,依然是现代物理学的一个未解之谜[69]
由中国科学院近代物理研究所相对论重离子碰撞团队主导的实验分析中,他们在分析了约66亿次重离子对撞事件后,实验团队成功识别出约16个反超氢–4核(图 22[70]),这也是迄今为止人类发现的最重的反物质超核。反超氢–4核由1个反质子、2个反中子和1个反Λ超子组成,其结构较之前发现的反物质更为复杂。尽管其在实验中的产量极低,这一重的反物质的发现验证了反物质在极端条件下的形成机制。更重要的是,反超氢–4核的寿命测量结果与普通超氢–4核在误差范围内一致,表明正反物质在寿命这一基本属性上具有对称性,这一发现有助于深化对宇宙起源和物质–反物质对称性破缺问题的理解。
图22 反超氢–4核不变质量信号

2.4 高能重离子碰撞中的极端电磁场

在高能重离子碰撞的非对心碰撞中,由于核碎片带有正电荷且接近光速,理论预测它会在空间中诱导出极强的磁场[7172],如图 23[73]所示。理论计算表明在质心能量为200 GeV的金核–金核对撞过程中,产生的磁场强度可达1018高斯,其强度大约为中子星磁场的1000倍。在该磁场条件下,夸克–胶子等离子体或可产生一系列重要的物理过程,如与强相互作用中局域对称性破缺相关的手征磁效应——左手征或右手征主导的费米子系统在强磁场下产生电偶极,以及手征磁催化与反磁催化——从夸克–胶子等离子体相到强子相的温度随磁场的变化。这些物理过程能丰富人们对四大基本相互作用之强相互作用的新认识,而磁场与夸克–胶子等离子体的相互作用是前提条件之一。然而,由于重离子碎片在碰撞区产生的磁场会在真空中迅速衰减,其在夸克–胶子等离子体中的强度究竟如何是一个巨大的挑战。磁场的寿命由碰撞能量、夸克–胶子等离子体产生时间及夸克–胶子等离子体电导率等多种因素决定,因此对磁场寿命的研究也能帮助人们了解夸克–胶子等离子体的电磁性质。
图23 高能重离子碰撞及其诱发的超强电磁场示意
复旦大学马余刚、陈金辉团队在RHIC–STAR国际合作组的高能重离子碰撞实验中,利用带电粒子在电磁场中的运动学性质,观察到了与电磁场效应预期一致的电荷依赖的粒子直接流劈裂[73]。该研究结果支持在高能重离子碰撞中存在电磁场的观点,为进一步研究高能重离子碰撞与电磁场的相互作用提供了实验基础。
研究团队发现带电粒子的直接流劈裂具有明显的碰撞中心度依赖性(中心度定义为原子核之间碰撞区域的大小,最中心代表原子核之间发生了对心碰撞)。在最中心碰撞中几乎没有核碎片,因而磁场最小,而随着偏离中心碰撞,磁场逐渐增大。研究人员对带有相反电荷的正反π介子、正反K介子、正反质子对的测量显示在接近中心碰撞时其劈裂可用来自输运夸克(原子核中的价夸克)的贡献来解释,而在远离中心碰撞(偏心碰撞,其磁场效应增大)时其劈裂才与电磁效应的计算一致。除此之外,研究人员发现在较低对撞能量(每核子对质心能量27 GeV)的金核对撞中,劈裂效应比较高对撞能量(每核子对质心能量200 GeV)时更加明显,这些发现能够进一步为研究磁场演化对碰撞能量的依赖性问题提供实验依据。同时,最近的研究通过格点QCD计算表明,净重子数与电荷的关联, $\chi_{11}^{\mathrm{BQ}}$可以作为量子色动力学的磁场探测器[74]。通过利用现实的π介子质量Mπ=135 MeV和先进的格点计算方法,研究发现,在相变线上 $\chi_{11}^{\mathrm{BQ}}$随着磁场强度 $e B \gtrsim 2 M_\pi^2$的增加而迅速上升。此外,电荷化学势与重子化学势之比µQ/µB显示出对磁场强度的显著依赖性,并且与重离子碰撞中碰撞核的电荷与重子数的比例有所不同。
这些结果为有效理论和模型研究提供了基准,并且 $\chi_{11}^{\mathrm{BQ}}$µQ/µB可能成为相对论重离子碰撞实验中磁场探测的有用探针,相比之下,它们的表现与强子共振气体模型的对应结果形成鲜明对比。此项研究不仅为量子色动力学研究领域带来新的科学工具,也为未来的实验物理提供了新的研究方向。

3 交叉学科

在现代核物理学的发展中,交叉学科的研究已成为推动科学前沿的重要力量。特别是在中低能与高能物理的交汇点,学者们通过高能重离子碰撞实验探索原子核的深层次结构与动态行为,揭示了核物理学的新视角。此类研究不仅加深了我们对核结构和核反应机制的理解,也为理论模型提供了精确的实验数据,促进了核物理学理论的发展与完善。同时,研究者通过精确测量,探索微观世界的基本性质及其在宇宙中的角色,例如通过无中微子双贝塔衰变(0νββ)等重要物理过程来理解中微子并探索超出标准模型新物理。此外,超精细结构的研究展示了原子核物理学与量子电动力学、固态物理等其他物理学分支的深度融合。其中0νββ、核钟等方向被《Physics》评为亮点工作[2]
这些研究的成功实施,依赖于物理学各分支间的紧密合作与技术革新,展现了现代科学研究的跨学科特点。通过这些先进的研究,科学家们不仅能够在理论上推动物理学的边界,更在实验和应用层面上为新技术和新发现铺平道路,进一步深化了我们对宇宙中基本粒子行为的理解。这一进展证明,交叉学科研究是解开物质深层次奥秘的关键,也是推动现代科学发展的重要动力。

3.1 中低能与高能的交叉

形变作为原子核的内秉物理量之一往往存在于非满壳的原子核中。原子核核变形反映了壳结构与残余价核子之间的相互作用,对核合成、核裂变和0νββ等物理过程都至关重要。目前,原子核结构参数的研究主要集中在低能核物理领域,关注原子核在较长时间尺度上的整体形状变化。在极端高能重离子碰撞实验中,原子核会发生洛伦兹收缩,并且相互作用的持续时间约为幺秒尺度(约10−24 s),远低于实验室条件下原子核量子涨落的皮秒尺度(约10−21 s)。这一时空尺度差异使得逆向瞬时成像原子核形状成为可能,为研究夸克–胶子等离子体的性质、原子核的几何形状以及核子之间的多体关联提供了新的机遇[7579]
复旦大学马余刚、张春健研究团队与纽约州立大学石溪分校贾江涌团队合作,利用高能重离子碰撞实验,研究了末态强子的集体流、平均横向动量涨落及其皮尔逊相关系数等3种软探针观测量(图 24[80])。该研究首次在跨能量尺度上揭示了铀–238(238U)原子核基态的几何形态,表明其具有较大的椭球形轴对称四极形变,并且存在微小的轴对称破缺三轴形变自由度。该结果与传统低能实验测量和理论研究一致,为原子核结构的成像提供了全新的方法。
图24 低能测量和高能重离子碰撞研究原子核结构方法示意
同时,高能核反应也被用于探测原子核的高阶形变。通常在原子核电磁跃迁的测量中,高阶形变的影响往往被四极形变β2的影响所掩盖。而2024年发表在《Physical Review Letters》中[81],研究确定了相对论U+U碰撞中十六极各向异性对椭圆度的非线性响应(图 25[81]),该响应仅对β4敏感,对β2不敏感。通过最先进的流体动力学计算证明了这一点,并讨论了在相对论重离子对撞机的重离子数据中发现238U的β4的前景。
图25 U+U碰撞与Au+Au碰撞的非线性响应的差别
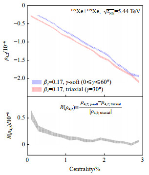
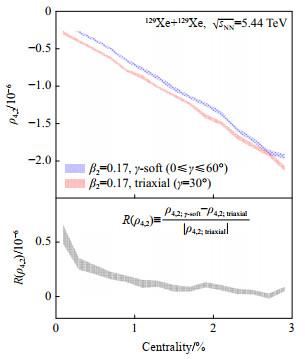
形状相变在中低能原子核物理中也是也一个重要的概念,主要用来解释某些同位素或同中子素链在其低能结构(如核子关联与集体运动模式等)及性质演化过程中的变化。这一现象与核的对称性密切相关,深入了解其规律将加深我们对原子核基本性质的认知。以往的研究表明,Xe同位素链在128−130Xe附近会发生二级形状相变,其结构从“软转子”过渡到球形振子。据此,北京大学团队与合作者提出,利用LHC能区的Xe+Xe碰撞实验来探究Xe同位素链的形状相变[82]
该研究提出可以从不同的末态流信号中提取夸克–胶子等离子体初态和碰撞原子核的结构信息。利用iEBE–VISHNU耦合模型,北京大学团队系统地计算了129Xe+129Xe碰撞中的椭圆流与横动量关联等观测量,并预测ρ4, 2等6粒子关联对二级形状相变的敏感性(图 26[82])。
图26 ρ4, 2等6粒子关联对二级形状相变的敏感性
这些研究不仅为约束和改进核理论模型及其计算精度提供了重要参考,而且有助于深化对夸克–胶子等离子体初态几何、原子核基本性质及宇宙元素起源等基本科学问题的理解。该成果还将推动高能重离子碰撞、低能核物理及核天体物理交叉领域的发展[83]

3.2 无中微子双贝塔衰变

作为超出标准模型的新物理,0νββ的发现将为中微子具有马约拉纳性质以及轻子数守恒不成立提供明确的实验证据[84]。0νββ只能发生在已允许双中微子双贝塔衰变(2νββ)的同位素中。2νββ是一种极其罕见的核衰变过程,伴随2个电子和2个反中微子的发射,该过程已在多种同位素中被直接观测到,其中 136Xe的半衰期最长。相比之下,134Xe是0νββ研究的重要候选同位素,但其标准模型允许的2νββ过程至今尚未被观测到。
由上海交通大学主导的PandaX合作组利用PandaX–4T探测器,在中国锦屏地下实验室开展了对自然氙中134Xe和136Xe的0νββ研究。134Xe在自然氙中的丰度约为10.4%,尽管其已被理论预言,但尚未有实验成功观测到这一过程。
PandaX–4T实验在搜寻134Xe的双贝塔衰变方面具有显著优势。探测器灵敏体积内含有约4 t自然氙,对应约400 kg的134Xe核素。与国际上EXO和KamLAND–Zen等实验采用富集136Xe的方法不同,PandaX–4T通过使用自然氙,有效减少了来自136Xe的背景干扰。此外,探测器具备低能量阈值和良好的自屏蔽性能,从而进一步提高了对稀有事件的探测灵敏度。
合作组利用PandaX–4T实验的首批数据,对氙–134双贝塔衰变和0νββ过程的半衰期给出了最强的限制,分别是大于2.8×1022 a和3.0×1023 a(90% 置信度),分别好于当前最好实验结果32倍和2.7倍。图 27[85]中给出了134Xe的2νββ和0νββ搜寻能谱拟合。这一结果展现了PandaX液氙探测器在中微子物理研究中的潜力,并为未来的0νββ实验提供了重要的实验依据。
图27 134Xe双中微子双贝塔衰变和无中微子双贝塔衰变搜寻能谱拟合,能量区间为200~1000 keV
另一方面,中微子相干弹性散射与暗物质直接探测在历史上也一直交织在一起。如果中微子波长与原子核尺寸相当的情况下,会发生一种类似于X射线晶体衍射的反应:中微子与原子核中所有核子发生相干的中性流弱相互作用,反应截面呈中子数平方倍增强,此种反应被称为中微子–原子核相干弹性散射(coherent elastic neutrino–nucleus scattering,CENS)。由于CENS造成的原子核反冲能量在keV量级,实验的挑战在于显著降低探测器的能量阈值和本底水平。这样的探测器正是适合探测理论预言中的冷暗物质粒子与原子核发生的散射,从此拉开了暗物质直接探测的浪潮。40年间,暗物质探测灵敏度不断被刷新,但至今还未寻找到暗物质的确凿证据。2017年,美国的COHERENT实验利用橡树岭国家实验室质子加速器打靶产生的中微子,首次探测到了CENS过程。同时,随着暗物质直接探测实验灵敏度的不断提升,人们预测在不远的未来,太阳以及大气中微子在探测器中产生的CENS事例将能够被观察到,这些事件有时也被称为“中微子雾霾”,因为暗物质信号可能会同这些“雾霾”混在一起;从另一个角度看,暗物质直接探测到达这样的灵敏度,也自然成为了一个强有力的中微子探测器,从一个全新的角度研究中微子相互作用的规律。
PandaX合作组利用总曝光时间为259 d的数据,以2.64的置信度首次观测到太阳中微子和原子核相干弹性散射的迹象(图 28[85]),表明液氙暗物质探测器已经到达了里程碑的灵敏度,也验证了利用相干弹性散射探测低能中微子这一新方式的可行性。研究成果发表在《Physical Review Letters》[86],并被选为“编辑推荐”。
图28 PandaX–4T采集的数据在能量和信号宽度的两维分布,粉红色为拟合的太阳硼–8中微子超出信号
观测到“太阳中微子雾霾”的迹象是暗物质直接探测的一个重要里程碑事件。除了暗物质探测以外,该结果也说明未来液氙探测器将能实现对超新星等各类天体中微子的有效探测,开展独特的粒子物理和天体物理研究,甚至在核安全核监测等应用方向也未来可期。PandaX-4T实验还将继续运行至2025年秋天,合作组采用了一系列新手段降低本底,数据量也将在目前基础提升2倍。
作为另一个重要的搜寻0νββ的大型装置,低温地下稀有事件观测站(CUORE)是一个由988个5 cm×5 cm×5 cm的TeO2晶体组成的探测器阵列,在低于20 mk的条件下运行,主要用于搜索130Te的0νββ。作为低温热量计实验中规模空前的项目,CUORE为研究奇异的穿透性粒子提供了一个有前景的实验环境。利用CUORE第一个吨年的探测数据,合作组开展了对假设的分数电荷粒子(FCPs)的搜索[87]。这些粒子在许多标准模型扩展中有着很好的理论动机,并且与物质的相互作用可能会受到抑制。在搜索的电荷范围e/24到e/2内,并未观察到超过背景的FCP候选轨迹,因此对电荷范围e/24到e/5内的地下FCP通量设定了领先的限制,置信水平为90%。通过CUORE的低背景环境和分段几何结构,该研究确定了吨级亚开尔文探测器对多种新物理信号的敏感性。

3.3 超精细结构

通常情况下,原子核的性质不会受到核外电子的影响,但内层电子在原子核处可产生强大的电磁场,诱发不同核态之间的混合,从而改变原子核的性质。这一效应被称为原子核超精细混合效应(nuclear hyperfine mixing)。对于钍–229原子核,其第一激发态能量极低(约8.4 eV),使得在类氢钍–229离子中,由1s基态电子引起的超精细混合效应尤为显著。这一效应使得钍–229原子核第一激发态的寿命从原先的千秒量级显著缩短了5个数量级,降至约10 ms。
传统观点认为,超精细混合效应在具有更高激发能的其他原子核中极为微弱,因此相关研究主要集中在钍–229。中国工程物理研究院的王旭与合作者通过发展更加完整的理论框架,提出了一种新的超精细混合机制,显著拓展了这一效应的应用范围[88]。传统的超精细混合机制仅利用单个电子态(如钍–229中的1s电子态),而新的机制则引入了2个电子态的协同作用。当这2个电子态之间的能量差与原子核能级差匹配,同时角动量也满足匹配条件时,便可能出现显著的超精细混合效应。
基于这一新机制,该研究预测在类硼铅–205离子(铅–205的77价离子)中,由于2p1/2和2p3/2电子态之间的能量差(2356 eV)与铅–205原子核第一激发态的能量(2329 eV)接近,将引发显著的超精细混合效应(图 29[88])。计算结果表明,这一效应可使铅–205原子核第一激发态的寿命从原先的15 min缩短4个数量级,降至约32 ms。
图29 类硼铅–205离子中的超精细混合效应

(a)裸铅–205原子核的基态和第一激发态,第一激发态寿命为15 min,衰变通道是电四极(E2)跃迁;(b)类硼铅–205离子的超精细结构,不考虑超精细混合效应,原子核第一激发态寿命没有显著改变;(c)考虑超精细混合效应后,类硼铅–205离子中原子核第一激发态寿命缩短到了32 ms,同时禁戒的磁偶极(M1)跃迁被打开

与光学谐振腔调控原子态寿命的机制类似,超精细混合效应可理解为核外电子扮演了“电子谐振腔”的角色,对原子核态产生“缀饰”效应。当电子态与原子核态发生近共振时,原子核态的寿命会被显著缩短,光与原子核的有效耦合强度随之大幅增强。这一效应显著提升了原子核的光激发效率,对激光核物理这一新兴交叉学科具有重要推动作用,有望促进先进激光光源(如强激光和X射线自由电子激光)与原子核相互作用的深入研究。
原子核谱学的超精细劈裂现象成为探究核结构和检验量子电动力学(QED)的重要手段。然而,由于涉及核结构与核电磁激发的双光子交换效应的高阶修正,对原子超精细劈裂的QED预测和实验测量存在较大差异。传统理论在精确预测双光子交换效应方面一直存在困难。
华中师范大学物理学院粒子物理研究所团队通过引入光核反应理论,严格计算了双光子交换中的原子核虚激发过程。结合无π介子有效场核力理论,该研究预测了氘原子1s态与缪氘2s态超精细劈裂中的双光子交换核效应修正分别为41.7(4.4)kHz和0.117(13)MeV,取得了与实验测量一致的结果(图 30[89])。这一研究解决了氘与缪氘原子超精细劈裂测量与QED预测之间长期存在的不一致性,突显了核结构效应对原子超精细劈裂谱的重要贡献,标志着在利用精密光谱学探测核结构方面取得了重要突破。
图30 双光子交换中的原子核虚激发
这项研究为未来在原子谱学领域中通过精密测量探测核结构提供了新的视角,并为今后一系列原子超精细劈裂测量中探究核结构效应构建了统一的理论框架[90]
一般此类验证QED的相关研究,主要基于在较低场强和轻原子离子领域进行的极为精确的研究。在非常强的电磁场中,如最重的高度带电离子(核电荷Z>>1),QED计算进入了一种本质不同的非微扰区。实验研究非常具有挑战性,理论预测只有部分得到了验证。最近发表在《Nature》上的研究展示了一种对高Z区中更高阶QED效应和电子–电子相互作用敏感的实验[91]。通过使用基于多参考法的多普勒调谐X射线发射方法,研究了不同电荷态的相对论性铀离子。测得最重两电子离子(U90+)中的1s1/2 2p3/2 J=2 → 1s1/2 2s1/2 J=1内层跃迁的能量,精度为37×10-6。此外,比较具有不同束缚电子数的铀离子,能够单独解开并测试单电子高阶QED效应和束缚电子–电子相互作用项,而不受核半径不确定性的影响。实验结果可区分几种先进的理论方法,并为强场领域的计算提供了重要的基准。
另一方面,X射线自由电子激光(XFELs)的出现为探索多激发态下的X射线与原子核的相互作用打开了大门。复旦大学的研究组展示了一个由相同共振核组成的集合体中X射线光子的发射如何依赖于系统中的激发数量。特别的,在多激发条件下,X射线量子的检测是按发射顺序选择的。该工作提供了一种研究来自协同共振核的多光子X射线发射的有效方法,这在理解非线性X射线光学和原子核的多体物理学方面具有重要的进展[92]
许多利用精密原子光谱检验粒子物理标准模型的实验,以及探索新物理现象的研究,都受到对核性质认识不足的限制。理想情况下,这些核性质可以通过测量最敏感且理论上最易解析的物理量来推导,而这些物理量通常类似于氢原子系统。尽管关于原子核电性质的测量数据相对丰富,但核磁性质的实验数据却十分稀少,且仅限于最轻的原子核。最近,有研究聚焦于9Be,这一体系为利用彭宁离子阱中对不同电荷态进行高精度光谱对比提供了独特的机会[93],可用于检验通常被核结构效应掩盖的理论计算。具体来说,其对类氢9Be3+的1s超精细结构和塞曼分裂进行了高精度测量。通过这些实验,确定了其有效Zemach半径,其测量不确定度为500×10-6,并获得了裸核磁矩,其测量不确定度达到了0.6×10-9(十亿分之六),这是目前在氢原子以外的系统中前所未有的高精度。此外,通过将这些结果与三电子电荷态9Be+的实验数据进行了对比,从而在十亿分之一的精度水平上验证了核磁矩的多电子抗磁屏蔽效应计算。为理论与实验的结合开辟了新的方向。

3.4 核钟

任何可靠产生的周期现象——从钟摆的摆动到单个原子的振动——都可以作为钟表的基础。如今,最精确的计时依赖于原子中极窄的电子跃迁,这些跃迁在光学频率上共振。这些极为精确的光学原子钟在大约300亿年内仅会失去1 s。然而,它们可能会被核钟超越,后者“滴答”声的频率来自原子核内发生的跃迁,而非电子壳层中的跃迁。这种设备在准确度和稳定性上有望超越现有的最先进原子钟,并有望将其用作探测暗物质和其他基本物理问题的工具。而近些年的突破性进展也预示着超精密核时钟新时代的到来[94]
由于原子核的尺寸比原子小约5个数量级,核频率标准有望减少外部场对其的畸变影响。基于长寿命同分异构体的超精密稳定“核钟”非常有吸引力[95]。最有前景的核标准候选是同位素钍–229(229Th)的一种极低能量且长寿命的同核异能态。自1976年推测出钍中同核异能态229mTh的存在及其可能的激发能量以来,它独特的低能量(约8.4 eV)和长半衰期激发了核物理学家对这一异乎寻常的核态的深入研究。近50年来,钍核钟的实现研究主要依靠核光谱技术,尤其在最近几年取得了巨大的进展。
长期以来,研究人员一直依赖于通过其他锕系元素的β衰变或α衰变等放射性衰变激发229mTh,因为仍然存在关于其精确激发能量的巨大不确定性。因此,利用激光光源从核基态激发其共振跃迁——这是控制操作核钟并过渡到“激光主导”的核钟研究时代所必需的步骤——在几十年里始终无法实现。考虑到要弥合核精度(8.338±0.024 eV)与最终要求的光学精度之间的巨大差距(10~12个数量级),这看起来极具挑战性。
2024年,研究人员实现了用紫外光激发这一跃迁的长期目标。德国计量国家研究所(PTB)和维也纳工业大学的研究人员,使用自主设计的激光激发了钍同分异构体229mTh,并以前所未有的精度测量了其跃迁能量和波长,为实现核钟打开了大门(图 31[96])。
图31 钍–229原子核与激发能谱跃迁示意
研究人员通过在CaF2晶体中创造了高密度的钍环境,并使用宽带真空紫外(VUV)激光(148 nm)激发229mTh,精确测量了激发能量为8.35574(3)eV,精度提高了800倍。该工作被发表在《 Physical Review Letters》[97],并被《Nature》等杂志作为焦点新闻报道。
同时,来自美国的课题组利用紫外激光直接激发固态CaF2宿主材料中的229Th跃迁,并测定了其绝对跃迁频率。通过将频率梳的基础频率锁定至联合天体物理实验室(JILA)的87Sr原子钟,在核能级与电子能级之间建立了频率链接(图 32[96]),从而首次测量了 229Th核钟跃迁与87Sr原子钟的频率比[98]。此外,该研究精确测量了核四极分裂,并提取了同核异能态的内在特性。这些结果首次实现了核钟与原子钟的比较,为基础物理研究开辟了新方向。此项研究融合了精密计量学、超快强场物理、核物理和基础物理学多个领域。
图32 229Th原子核的紫外光谱,与87Sr原子钟的频率链接
进一步,日本的研究人员发现,与其他电荷态不同,三价钍–229(229Th3+)最适合用于高精度核时钟,因为其具有封闭的电子壳层结构,能够实现激光冷却、激光诱导荧光检测和离子态制备。尽管已有对 229Th3+基态的激光光谱研究,但229mTh3+的性质仍不清楚,尤其是其核衰变寿命,对确定核时钟跃迁至关重要。该项研究通过核态选择性激光光谱法,测定其核衰变半衰期为 $1400_{-300}^{+600}$[99]。此外,通过确定229mTh3+的超精细常数,将229Th核时钟对细结构常数变化的敏感度的不确定性减少至原来的1/4。这些结果为 229Th3+核时钟及其在新物理学研究中的应用提供了关键参数。

3.5 核物质状态方程与核天体物理

从核心坍缩超新星爆发到中子星合并,量子多体计算在理解极端天体环境中物质的行为方面起着至关重要的作用[100]。然而,由于现实核力的复杂性,高精度的第一性原理计算面临诸多挑战,例如蒙特卡洛计算中广泛存在的符号震荡问题。
华南师范大学量子物质研究院科研团队与合作者,利用最新发展的波函数匹配(wavefunction matching)方法[101],通过微扰论成功绕过了符号震荡问题。然而,这一方法在计算过程中引入了新的挑战:其计算量会随着单体算符数量和高阶修正的增加呈指数级增长。为解决这一问题,团队创新性地提出了秩一算符(rank–one operator)方法,有效应对了多体算符和高阶修正的计算瓶颈。
在原子核格点有效场论(nuclear lattice effective field theory,NLEFT)的框架下,研究团队应用Rank– One Operator方法,对不同温度和密度条件下的中子物质结构因子进行了首次第一性原理计算[102]。结果显示,在低密度条件下,格点计算结果与传统的维里展开方法高度一致;而在高密度条件下,格点计算展现出显著优势,提供了更可靠的理论预言,弥补了其他近似方法的不足(图 33[102])。
图33 静态结构因子(a);动量依赖中子物质结构因子(b)
这些格点计算结果为随机相位近似(RPA)及其他理论模型的标定提供了高精度数据,也为超新星爆发的三维模拟提供了关键的输入量。此研究成果将推动对极端天体物理现象的深入理解,包括核心坍缩超新星中的中微子输运机制、核子间的自旋关联及高密度核物质的性质。这一突破不仅为核物理与天体物理的交叉领域提供了重要支撑,也展示了量子多体计算技术在复杂物理系统中的广泛应用前景。
一般认为,最重的化学元素是通过中子星合并或超新星爆发中的快速中子捕获过程(r过程)自然生成的。对于铀以外的元素(超铀元素)的r过程生产机制理解尚不充分,且难以通过实验直接获得,因此必须通过核合成模型进行推测。发表在《Science》杂志的研究分析了一些富含r过程元素的恒星样本中的元素丰度[103]。发现钌、铑、钯和银(原子序数Z=44~ 47,质量数A=99~110)的丰度与较重元素(63≤ Z≤ 78,A>150)的丰度呈正相关。研究认为这表明超铀核裂变碎片对丰度的贡献,且质量数大于260的富中子核是在r过程事件中产生的。
在实验观测方面,过去10年中,天文望远镜的观测能力有了显著提升,带来了宇宙的精美图片和意外发现,如早期宇宙中亮星系的数量超出预期。最近的数据还显示,一些恒星中某些元素的含量超出了模型的允许范围[104]。密歇根州立大学和德国科隆大学的研究团队通过测量与核合成路径“i过程”相关的中子俘获截面,帮助解决了这些元素丰度问题[105]
i过程”是在1970年代首次预测的一种中子俘获途径,位于已知的慢中子俘获过程(s过程)和快中子俘获过程(r过程)之间。研究人员通过测量铯–140衰变成钡–140的过程,间接推断了钡–140的中子俘获截面。这些数据显著降低了天文观测的不确定性,并为核合成模型提供了重要约束。
另一方面,轻质量核区也有很多天体关键核反应,核天体物理学及其应用领域急需精确的核反应数据来理解宇宙中的元素合成的重要过程[106107]。例如,碳–13(13C)的(α, n)反应的截面就尤为重要,但50年来的实验研究之间的不一致目前导致了大约15% 的不确定性。近日,研究人员利用最先进的中子探测阵列进行了一项覆盖广泛能量范围的高分辨率微分截面研究。这些测量结果显著改善了对恒星能量截面的外推,有望将不确定性降低到约5%,并解决了高能数据中长期存在的差异[108]
同时研究人员也首次实验确定了通过氧–17(17O)与锂–7(7Li)进行的α转移反应,得到的氖–21(21Ne)的α谱因子和部分宽度[109]。这些数据帮助评估了氧–17进行的(α, n)和(α, γ)的反应速率。这些反应的速率对于大质量恒星核心氦燃烧过程中的弱s过程效率至关重要。这项新的实验研究显著降低了这些反应速率的不确定性,相较于之前的评估降低为原来的1/3,且当前的氧–17(17O)(α, n)反应速率比以前估计的要高出20倍以上。
这一新的(α, n)/(α, γ)速率比支持中子循环,表明在金属贫乏的旋转大质量恒星中,弱s过程在锆–钕(Zr–Nd)区域的增强超过1.5个数量级。这一发现为理解大质量恒星中的元素合成提供了重要的视角。这些研究的进展为天体物理学中的核反应模型提供了更精确的数据支持,对于理解恒星如何生成和演化中的重元素过程具有重要意义。通过这些高精度的实验数据,科学家们能更好地预测恒星内部的核反应过程,为未来的天体物理研究和应用开辟了新的道路。
在丰质子滴线区,铌–92(92Nb)比该元素最丰富的同位素铌–93少1个中子。然而,在这个看似微不足道的差异背后,隐藏着一个长期未解的谜题。宇宙中创造比铁重的元素的2条主要途径涉及向较轻元素添加中子。但这些途径无法解释92Nb及其他缺中子核(所谓的p核)的存在。近期,达姆施塔特重离子研究中心(GSI)的研究人员及其合作者提出了一个解决方案[110]。在大量中微子存在的情况下,合成重元素的一条途径——r过程,可以被转变以产生92Nb和其他p核,如钼–92和钌–96。
这些核反应发生的主要场合被认为是超新星和双中子星并合(图 34[111])。这2个地点预计将充满中微子。通常情况下,r过程通过一系列的中子俘获和β衰变事件产生越来越重的元素。如果存在大量中微子,它们可能被核吸收,从而将中子转变为质子,并有可能产生p核。研究人员将他们的新机制称为νr过程。根据他们的计算,νr过程需要大量的中微子通量和大约30亿K的温度。
图34 双中子星并合示意
原子核物理的相关研究也对人们了解太阳系有着重要帮助,特别是寿命约为百万年的放射性核素能够揭示太阳的形成历史和其诞生时的活跃核合成过程。例如205Pb是通过慢中子俘获(s过程)在巨星分支(AGB)恒星中合成的。然而,由于205Pb和205Tl的衰变速率在恒星温度下存在较大不确定性,直到现在无法准确预测其丰度。2024年发表在《Nature》杂志上的研究首次测量了完全离子化的205Tl81++的束缚态β衰变,结果发现其半衰期比理论预期长4.7倍[112]。基于这一新衰变速率计算了205Pb的丰度,并通过与陨石中 205Pb/204Pb比值的比较,确定了太阳物质在母分子云中的隔离时间。研究结果支持太阳诞生于一个长寿命的大分子云,并验证了205Pb–205Tl衰变系统作为早期太阳系年代测量工具的有效性。
稳定的205Tl离子具有已知最低的电子中微子(νe)俘获能量阈值,其值为≥ 50.6 keV。20世纪80年代提出的Lorandite实验(LOREX)旨在通过含Tl的天然红铊矿来获得长时间的太阳中微子平均通量(图 35[113])。为了确定电子中微子的俘获截面,需要知道205Tl基态和205Pb中2.3 keV的第一激发态之间的弱跃迁的强度。实验中研究该跃迁的唯一方法是测量完全电离的205Tl81+离子的束缚态β衰变(βb)。经过30年的精心准备,位于德国GSI的实验储存环(ESR),测量了205Tl81++离子束缚态β衰变的半衰期,结果为 $291_{-27}^{+33}$[113]。测量得到的半衰期比理论估计更长,这降低了Lorandite实验中的预期信噪比,从而对其可行性提出挑战。这一测量结果表明,太阳中微子的俘获截面比先前预期的要低。
图35 205Tl离子β衰变示意

3.6 核医学

近年来,离子治疗技术迅速发展。国内最先是复旦大学质子–重离子医院率先引入国外的装置开展质子–重离子癌症治疗工作,通过多年来的应用已经取得了良好的癌症治疗效果。特别是,近几年中国科学近代物理研究所研制的重离子治癌装置,中国科学院上海应用物理研究所、上海高等研究院等研制的质子治癌装置等也在国内医疗市场发挥重要作用。而对于常规剂量率的治疗,超高剂量率FLASH放射治疗是近10年来放射肿瘤学领域最有前途的创新技术之一,有望根除耐放射的原发性肿瘤,改善癌症患者的治疗效果。FLASH的基础是以超高剂量率提供辐射剂量,其速度比常规剂量率(CONV)照射快1000多倍。文献[114]回顾了剂量率调制对肿瘤和正常组织产生不同影响的实验证据。临床前数据一致表明,细胞毒性剂量的抗肿瘤效果并不依赖于剂量率,但在正常组织中,超高剂量率比常规剂量率显著降低了正常组织的毒性,正如在体内观察到的那样。这些观察结果定义了FLASH效应。据报道,在多个实验动物模型(小鼠、大鼠、斑马鱼、猪和猫)和多个器官(肺、皮肤、肠道和大脑)中使用单剂量或低分剂量方案时,会出现FLASH效应。目前FLASH效应已在电子、光子和强子(质子和重离子)束中得到证实。同时回顾了目前的状况和未来的技术发展[114],重点是关键的射束参数、未来的射束模式,以及在剂量测定、放射防护和治疗计划系统方面实现安全临床转化的先决条件。此外,还介绍了物理化学和生物学层面的机理研究,以及支持和启动临床转化的策略。这篇全面的综述为多学科辐射科学家提供了一份技术、物理、化学、生物和临床考虑因素的路线图,这些考虑因素使FLASH成为热门话题。在介绍这些考虑因素的同时,还以现实和实用为背景,介绍了未来的局限性和挑战。
另一方面,医学影像学中的PET对癌症、阿尔茨海默病等疾病的诊断至关重要。在PET中,电子和正电子在病人体内湮灭成一对光子,光子被探测并用于重建体内组织的图像。这些光子被认为是量子纠缠的,研究表明,这种纠缠可能提高PET影像的质量[113]。如今,英国约克大学的科研工作者通过观察光子纠缠的性质,进一步推动了量子增强影像学的进展[114]
目前,在PET扫描中,病人通过静脉注射附带放射性原子的生物分子,这些原子在衰变过程中释放正电子。正电子与病人体内的电子湮灭后,生成2束能量为511 keV的光子,它们分别朝相反方向传播。光子能够穿透病人的身体,并在PET探测器中产生信号,从而确定电子–正电子湮灭在体内的分布,并最终生成显示生物分子在体内代谢速率的图像。
过去70年中,PET经历了持续发展,从仅使用2个探测器获取的模糊图像,发展到利用数十万个晶体闪烁体构建的最先进系统进行的动态、全身同时成像。然而,PET扫描的基本原理并未改变:它们通过记录光子与探测器系统相互作用的位置、时间以及它们沉积的能量,重建电子–正电子湮灭的分布。
PET成像面临的一个主要挑战是过滤掉因湮灭光子与病人体内的电子散射而未能直接到达探测器的事件(图 36[115])。这种过滤至关重要,因为这些事件约占所有探测到的光子对的90%,并导致PET图像模糊。由于散射光子的能量较低,一些模糊事件可以通过拒绝能量低于511 keV的光子来过滤掉(能量分辨率大于探测器的能量分辨率的范围)。
图36 205Tl离子β衰变示意
2014年,科学家提出,通过仔细分析来自同一湮灭的2束光子的偏振方向差异,可以抑制模糊事件。这一方法仅在光子散射后,偏振纠缠不再存在,光子开始独立传播的情况下有效。直到几年前,人们普遍认为偏振纠缠会丧失。但2023年的一项实验表明,纠缠在一束光子散射后仍然存在。这一意外发现得到了独立实验的证实,证明在散射角度高达50°时,偏振纠缠依然存在,只有在50°时才略有丧失。
最近,科研工作者将这些研究扩展到70°的散射角度,并观察到首次明确证据,研究表明,在50°以上的角度,纠缠确实会丧失。此外,通过考虑其中一束纠缠光子的散射及纠缠丧失效应,纠缠程度与散射角度的依赖关系可以通过最近开发的量子理论很好地描述。该理论认为,来自纠缠对的光子在特定角度散射的概率,不仅取决于光子的动量和偏振,还与光子之间的纠缠程度有关。
这一发现表明,电子–正电子湮灭中产生的光子,在其中一束光子被散射时仍可保持纠缠,这一科学发现对医学诊断来说既是坏消息也是好消息。坏消息是,测量光子偏振差异不能帮助PET成像,通过减少患者体内散射造成的模糊事件的比例。然而,对于量子增强PET诊断的发展来说,这是潜在的好消息,因为如果其中一束光子在体内散射,纠缠光子携带的可能诊断信息不会丢失。
第一台能够利用纠缠增强成像的全规模PET系统已经使用塑料闪烁体构建。该系统名为J–PET,已经显示出电子–正电子湮灭发生的材料类型对纠缠程度的影响——这为纠缠在PET诊断中的潜在应用提供了希望的迹象。此外,多个研究小组也在开发基于传统晶体闪烁体的PET系统,以实现纠缠增强成像[116]
近10年,PET的发展正经历着向全新诊断参数的范式转变。由于正电子原子(束缚电子–正电子状态)的寿命和纠缠程度与组织类型的依赖关系,新的诊断参数可能对电子–正电子湮灭的发生方式十分敏感。

4 总结

2024年原子核物理的研究取得了许多显著的进展,涵盖了从基础理论到实验观察的多个领域。首先,在原子核结构的研究方面,核壳层模型和幻数的验证依旧是核心议题,特别是在极端条件下的核子行为和核结构的特殊性质。在中子亏缺区域,某些重元素核子表现出异常的稳定性,进一步推动了对核力和色禁闭后核力机制的理解。此外,新一代核科学装置不断拓展对滴线区核素的研究,揭示了未知核素的性质。通过高精度的质量测量和衰变研究,提供了对核结构和衰变机制了解的全新视角。
在高能核物理方面2024年的研究介绍了高能核物理的前沿进展,重点讨论了重离子碰撞实验中的夸克–胶子等离子体现象,及其对早期宇宙物质状态的揭示。同时,核天体物理也取得了新进展,特别是在超重元素、重核同位素和中子星的研究中,提供了关于原子核形变、衰变等特性的深入洞察。本文介绍了2024年对这些极端条件下物质的研究,为核物理提供了精细的实验数据和新的理论框架,促进了对深层次物质结构和宇宙演化的进一步理解。
此外,随着核科学装置的不断升级以及新技术的应用,原子核物理在不同领域的潜力被进一步发掘,展示了核物理学的多学科交叉与应用前景。
综上所述,2024年原子核物理的研究不仅深化了对物质基本构成的认知,还推动了多学科领域的交叉合作与应用,为未来的科学探索和技术发展提供了坚实的理论基础。
1
Thoennessen M, Gade A. Isotope facilities aim to complete the nuclear chart[J]. Nature Physics, 2024, 20(12): 18441845.

2
Physics Magazine Editors. Highlights of the year[EB/OL]. (2024-12-16)[2025-01-22]. https://physics.aps.org/articles/v17/181.

3
Ye Y L, Yang X F, Sakurai H, et al. Physics of exotic nuclei[J]. Nature Reviews Physics, 2025, 7(1): 21- 37.

4
Wei K, Ye Y L, Yang Z H. Clustering in nuclei: Progress and perspectives[J]. Nuclear Science and Techniques, 2024, 35(12): 216.

DOI

5
Ding M Q, Fang D Q, Ma Y G. Neutron skin and its effects in heavy-ion collisions[J]. Nuclear Science and Techniques, 2024, 35(12): 211.

DOI

6
Luo T P, Yang L, Lin C J, et al. Reaction dynamics of protonrich nuclei at energies around the Coulomb barrier: The cases of ${ }^{7} \mathrm{Be}, { }^{8} \mathrm{B}$, and ${ }^{17} \mathrm{F}$[J]. Nuclear Science and Techniques, 2024, 35(12): 212.

DOI

7
Chen Y, Ye Y, Wei K. Progress and perspective of the research on exotic structures of unstable nuclei[J]. Nuclear Techniques, 2023, 46(8): 189- 194.

8
Fang D Q. Neutron skin thickness and its effects in nuclear reactions[J]. Nuclear Techniques, 2023, 46(8): 155- 161.

9
Yang L, Lin C J, Jia H M, et al. Progress on nuclear reactions and related nuclear structure at low energies[J]. Nuclear Techniques, 2023, 46(8): 70- 80.

10
Yang H B, Gan Z G, Li Y J, et al. Discovery of new isotopes ${ }^{160} \mathrm{Os}$ and ${ }^{156} \mathrm{W}$ : Revealing enhanced stability of the $N=82$ shell closure on the neutron-deficient side[J]. Physical Review Letters, 2024, 132(7): 072502.

DOI

11
Ge Z, Reponen M, Eronen T, et al. High-precision mass measurements of neutron deficient silver isotopes probe the robustness of the $N=50$ Shell closure[J]. Physical Review Letters, 2024, 133(13): 132503.

DOI

12
Xu X Y, Fan S Q, Yuan Q, et al. Progress in $a b$ initio inmedium similarity renormalization group and coupled-channel method with coupling to the continuum[J]. Nuclear Science and Techniques, 2024, 35(12): 215.

DOI

13
Warbinek J, Rickert E, Raeder S, et al. Smooth trends in fermium charge radii and the impact of shell effects[J]. Nature, 2024, 634(8036): 1075- 1079.

DOI

14
Heinz S. A route toward the island of stability[EB/OL]. (2024-10-21) [2025-01-22]. https://physics.aps.org/articles/v17/150.

15
Gates J M, Orford R, Rudolph D, et al. Toward the discovery of new elements: Production of livermorium (Z=116) with ${ }^{50} \mathrm{Ti}$[J]. Physical Review Letters, 2024, 133(17): 172502.

DOI

16
Wright K. Five new isotopes is just the beginning[EB/OL]. (2024-02-15) [2025-01-22]. https://physics.aps.org/articles/v17/28.

17
Tarasov O B, Gade A, Fukushima K, et al. Observation of new isotopes in the fragmentation of ${ }^{198} \mathrm{Pt}$ at FRIB[J]. Physical Review Letters, 2024, 132(7): 072501.

DOI

18
Xu F F, Wang Y K, Wang Y P, et al. Emergence of highorder deformation in rotating transfermium nuclei: A microscopic understanding[J]. Physical Review Letters, 2024, 133(2): 022501.

DOI

19
Sun X X, Zhou S G. Deformed halo nuclei and shape decoupling effects[J]. Nuclear Techniques, 2023, 46(8): 146- 154.

20
Frauendorf S. First evidence for chiral wobbling of triaxial nuclei[J]. Nuclear Science and Techniques, 2024, 35(7): 123.

DOI

21
Guo R J, Wang S Y, Liu C, et al. Evidence for chiral wobbler in nuclei[J]. Physical Review Letters, 2024, 132(9): 092501.

DOI

22
Kawabata T. The $5\alpha$ condensate state in ${ }^{20} \mathrm{Ne}$[J]. Nuclear Science and Techniques, 2024, 35(2): 35.

DOI

23
Li J G, Hu B S, Zhang S, et al. Unbound ${ }^{28} \mathrm{O}$, the heaviest oxygen isotope observed: A cutting-edge probe for testing nuclear models[J]. Nuclear Science and Techniques, 2024, 35(2): 21.

DOI

24
Chen J, Ayyad Y, Bazin D, et al. Near-threshold dipole strength in ${ }^{10} \mathrm{Be}$ with isoscalar character[J]. Physical Review Letters, 2025, 134: 012502.

DOI

25
Day C. A toroidal mode in an excited nucleus[EB/OL]. (2024-12-04) [2025-01-22]. https://physics.aps.org/articles/v17/s146.

26
von Neumann-Cosel P, Nesterenko V O, Brandherm I, et al. Candidate toroidal electric dipole mode in the spherical nucleus ${ }^{58} \mathrm{Ni}$[J]. Physical Review Letters, 2024, 133(23): 232502.

DOI

27
Xu Z Y, Grzywacz R, Gottardo A, et al. Compound-nucleus and doorway-state decays of $\beta$-delayed neutron emitters ${ }^{51, 52, 53} \mathrm{K}$[J]. Physical Review Letters, 2024, 133(4): 042501.

DOI

28
Monteagudo B, Marques F M, Gibelin J, et al. Mass, spectroscopy, and two-eutron decay of ${ }^{16} \mathrm{Be}$[J]. Physical Review Letters, 2024, 132(8): 082501.

DOI

29
Wang J X, Penny T W, Recoaro J, et al. Mechanical detection of nuclear decays[J]. Physical Review Letters, 2024, 133(2): 023602.

DOI

30
Northup T. Nuclear decay detected in the recoil of a levitating bead[EB/OL]. (2024-07-08)[2025-01-22]. https://physics.aps.org/articles/v17/107.

31
Le Joubioux M, Savajols H, Mittig W, et al. Search for a neutron dark decay in ${ }^{6} \mathrm{He}$[J]. Physical Review Letters, 2024, 132(13): 132501.

DOI

32
Campbell S E, Bollen G, Brown B A, et al. Precision mass measurement of the proton dripline halo candidate ${ }^{22} \mathrm{Al}$[J]. Physical Review Letters, 2024, 132(15): 152501.

DOI

33
Zhou X, Wang M, Zhang Y H, et al. B $\rho$-defined isochronous mass spectrometry at the storage ring CSRe[J]. Nuclear Science and Techniques, 2024, 35(12): 213.

DOI

34
Yu Y, Xing Y M, Zhang Y H, et al. Nuclear structure of dripline nuclei elucidated through precision mass measurements of ${ }^{23} \mathrm{Si}, { }^{26} \mathrm{P}, { }^{27, 28} \mathrm{S}$, and ${ }^{31}\mathrm{Ar}$[J]. Physical Review Letters, 2024, 133(22): 222501.

DOI

35
Wang M, Zhang Y H, Zhou X, et al. Mass measurement of upper $f p$-shell $N=Z-2$ and $N=Z-1$ nuclei and the importance of three-nucleon force along the $N=Z$ line[J]. Physical Review Letters, 2023, 130(19): 192501.

DOI

36
Wang Y P, Wang Y K, Xu F F, et al. Abnormal bifurcation of the double binding energy differences and proton-neutron pairing: Nuclei close to $N=Z$ line from Ni to Rb[J]. Physical Review Letters, 2024, 132(23): 232501.

DOI

37
König K, Berengut J C, Borschevsky A, et al. Erratum: Nuclear charge radii of silicon isotopes[J]. Physical Review Letters, 2024, 133(5): 059901.

DOI

38
König K, Berengut J C, Borschevsky A, et al. Nuclear charge radii of silicon isotopes[J]. Physical Review Letters, 2024, 132(16): 162502.

DOI

39
Jungclaus A, Górska M, Mikołajczuk M, et al. Excited-state half-lives in ${ }^{130} \mathrm{Cd}$ and the isospin dependence of effective charges[J]. Physical Review Letters, 2024, 132(22): 222501.

DOI

40
Ehrenstein D. Proton effective charge depends on neutron population[EB/OL]. (2024-05-29)[2025-01-22]. https://physics.aps.org/articles/v17/s65.

41
Chen J H, Dong X, He X H, et al. Properties of the QCD matter: Review of selected results from the relativistic heavy ion collider beam energy scan (RHIC BES) program[J]. Nuclear Science and Techniques, 2024, 35(12): 214.

DOI

42
Shou Q Y, Ma Y G, Zhang S, et al. Properties of QCD matter: A review of selected results from ALICE experiment[J]. Nuclear Science and Techniques, 2024, 35(12): 219.

DOI

43
Zhang Y, Zhang D W, Luo X F. Experimental study of the QCD phase diagram in relativistic heavy-ion collisions[J]. Nuclear Techniques, 2023, 46(4): 040001.

44
Sun K J, Chen L W, Ming K C, et al. Light nuclei production and QCD phase transition in heavy-ion collisions[J]. Nuclear Techniques, 2023, 46(4): 040012.

45
Chen Q, Ma G L, Chen J H. Transport model study of conserved charge fluctuations and qcd phase transition in heavy-ion collisions[J]. Nuclear Techniques, 2023, 46(8): 080013.

46
Yang Z, He Y Y, Moult I, et al. Probing the short-distance structure of the quark-gluon plasma with energy correlators[J]. Physical Review Letters, 2024, 132: 011901.

DOI

47
Hayrapetyan A, Tumasyan A, Adam W, et al. Measurement of energy correlators inside jets and determination of the strong coupling $\alpha_s\left(m_z\right)$[J]. Physical Review Letters, 2024, 133(7): 071903.

DOI

48
Deng X G, Fang D Q, Ma Y G. Shear viscosity of nucleonic matter[J]. Progress in Particle and Nuclear Physics, 2024, 136: 104095.

DOI

49
Shen C, Schenke B, Zhao W B. Viscosities of the baryonrich quark-gluon plasma from beam energy scan data[J]. Physical Review Letters, 2024, 132(7): 072301.

DOI

50
Heffernan M, Gale C, Jeon S, et al. Early-times Yang-Mills dynamics and the characterization of strongly interacting matter with statistical learning[J]. Physical Review Letters, 2024, 132(25): 252301.

DOI

51
Hayrapetyan A, Tumasyan A, Adam W, et al. Search for soft unclustered energy patterns in proton-proton collisions at 13 TeV[J]. Physical Review Letters, 2024, 133(19): 191902.

DOI

52
Karthik N. Searching for dark matter vari ants of quarks and gluons[EB/OL]. (2024-11-05)[2025-01-22]. https://physics.aps.org/articles/v17/s137.

53
Wu W H, Tao J Q, Zheng H, et al. Thermodynamic properties at the kinetic freeze-out in the $\mathrm{Au}+\mathrm{Au}$ and $\mathrm{Cu}+\mathrm{Cu}$ collisions at the RHIC using the Tsallis distribution[J]. Nuclear Science and Techniques, 2023, 34(10): 151.

DOI

54
Bleicher M. Nucleosynthesis in the little Bang[J]. Nuclear Science and Techniques, 2024, 35(8): 129.

DOI

55
Churchill J, Du L P, Gale C, et al. Virtual photons shed light on the early temperature of dense QCD matter[J]. Physical Review Letters, 2024, 132(17): 172301.

DOI

56
Sun K J, Wang R, Ko C M, et al. Unveiling the dynamics of little-Bang nucleosynthesis[J]. Nature Communications, 2024, 15(1): 1074.

DOI

57
ALICE Collaboration. Observation of medium-induced yield enhancement and acoplanarity broadening of low-pT jets from measurements in $p p$ and central $\mathrm{Pb}-\mathrm{Pb}$ collisions at $\sqrt{S_{N N}}=5.02\text{ }\mathrm{TeV}$[J]. Physical Review Letters, 2024, 133(2): 022301.

DOI

58
Sun K J, Liu D N, Zheng Y P, et al. Deciphering hypertriton and antihypertriton spins from their global polarizations in heavy-ion collisions[J]. Physical Review Letters, 2025, 134(2): 022301.

DOI

59
Liang Z T, Wang X N. Globally polarized quark-gluon plasma in noncentral $A+A$ collisions[J]. Physical Review Letters, 2005, 94(10): 102301.

DOI

60
Liang Z T, Wang X N. Erratum: Globally polarized quarkgluon plasma in noncentral $A+A$ collisions[J]. Physical Review Letters, 2006, 96(3): 039901.

DOI

61
Liang Z T, Wang X N. Spin alignment of vector mesons in non-central $A+A$ collisions[J]. Physics Letters B, 2005, 629(1): 20- 26.

DOI

62
Sheng X L, Oliva L, Liang Z T, et al. Spin alignment of vector mesons in heavy-ion collisions[J]. Physical Review Letters, 2023, 131(4): 042304.

DOI

63
Gao J H, Huang X G, Liang Z T, et al. Spin-orbital coupling in strong interaction and global spin polarization[J]. Acta Physica Sinica, 2023, 72(7): 072501.

DOI

64
Sheng X L, Liang Z T, Wang Q. Global spin alignment of vector mesons in heavy ion collisions[J]. Acta Physica Sinica, 2023, 72(7): 072502.

DOI

65
The STAR Collaboration. Global $\Lambda$ hyperon polarization in nuclear collisions[J]. Nature, 2017, 548(7665): 62- 65.

DOI

66
The STAR Collaboration. Pattern of global spin alignment of $\phi$ and $\mathrm{K}^{* 0}$ mesons in heavy-ion collisions[J]. Nature, 2023, 614(7947): 244- 248.

DOI

67
Chen J H, Liang Z T, Ma Y G, et al. Global spin alignment of vector mesons and strong force fields in heavy-ion collisions[J]. Science Bulletin, 2023, 68(9): 874- 877.

DOI

68
Chen J H, Liang Z T, Ma Y G, et al. Vector meson's spin alignments in high energy reactions[J]. Science China Physics, Mechanics & Astronomy, 2024, 68(1): 211001.

69
Ma Y G. Research advances in antimatter[J]. Acta Physica Sinica, 2024, 73(19): 191101.

70
The STAR Collaboration. Observation of the antimatter hypernucleus Λ-4H-[J]. Nature, 2024, 632(8027): 1026. [J]. Nature, 2011, 475(7356): 412.

71
Zhao J, Chen J H, Huang X G, et al. Electromagnetic fields in ultra-peripheral relativistic heavy-ion collisions[J]. Nuclear Science and Techniques, 2024, 35(2): 20.

72
Huang X G. Quantifying the strength of magnetic fields using baryon electric charge correlation[J]. Nuclear Science and Techniques, 2024, 35(8): 138.

73
The STAR Collaboration. Observation of the electromagnetic field effect via charge-dependent directed flow in heavy-ion collisions at the relativistic heavy ion collider[J]. Physical Review X, 2024, 14(1): 011028.

74
Ding H T, Gu J B, Kumar A, et al. Baryon electric charge correlation as a magnetometer of QCD[J]. Physical Review Letters, 2024, 132(20): 201903.

75
Ma Y G, Zhang S. Influence of nuclear structure in relativistic heavy-ion collisions[M] //Handbook of Nuclear Physics. Singapore: Springer Nature Singapore, 2023: 1485-1514.

76
Ma Y G, Zhang S. $\alpha$-clustering effects in relativistic heavyion collisions[J]. Scientia Sinica Physica, Mechanica & Astronomica, 2024, 54(9): 292004.

77
Ma Y G. Effects of $\alpha$-clustering structure on nuclear reaction and relativistic heavy-ion collisions[J]. Nuclear Techniques, 2023, 46(8): 8- 29.

78
Schenke B. Violent collisions can reveal hexadecapole deformation of nuclei[J]. Nuclear Science and Techniques, 2024, 35(7): 115.

79
Jia J Y, Giacalone G, Bally B, et al. Imaging the initial condition of heavy-ion collisions and nuclear structure across the nuclide chart[J]. Nuclear Science and Techniques, 2024, 35(12): 220.

80
The STAR Collaboration. Imaging shapes of atomic nuclei in high-energy nuclear collisions[J]. Nature, 2024, 635(8037): 67- 72.

81
Xu H J, Zhao J, Wang F Q. Hexadecapole deformation of ${ }^{238} \mathrm{U}$ from relativistic heavy-ion collisions using a nonlinear response coefficient[J]. Physical Review Letters, 2024, 132(26): 262301.

82
Zhao S J, Xu H J, Zhou Y, et al. Exploring the nuclear-shape phase transition in ultrarelativistic ${ }^{129} \mathrm{Xe}+{ }^{129} \mathrm{Xe}$ collisions at the LHC[J]. Physical Review Letters, 2024, 133(19): 192301.

83
Giacalone G. Beyond axial symmetry: High-energy collisions unveil the ground-state shape of ${ }^{238} \mathrm{U}$[J]. Nuclear Science and Techniques, 2024, 35(12): 218.

84
Ma L, Huang H Z, Ma Y G. Sensitivity challenge of the next-generation bolometric double-beta decay experiment[J]. Research, 2024, 7: 569.

85
Yan X Y, Cheng Z K, Abdukerim A, et al. Searching for two-neutrino and neutrinoless double beta decay of ${ }^{134} \mathrm{Xe}$ with the PandaX-4T experiment[J]. Physical Review Letters, 2024, 132(15): 152502.

86
Bo Z H, Chen W, Chen X, et al. First indication of solar ${ }^{8}\mathrm{B}$ neutrinos through coherent elastic neutrino-nucleus scatter-ing in PandaX-4T[J]. Physical Review Letters, 2024, 133(19): 191001.

87
Adams D Q, Alduino C, Alfonso K, et al. Search for fractionally charged particles with CUORE[J]. Physical Review Letters, 2024, 133(24): 241801.

88
Wang W, Wang X. Substantial nuclear hyperfine mixing effect in boronlike ${ }^{205} \mathrm{Pb}$ Ions[J]. Physical Review Letters, 2024, 133(3): 032501.

89
Ji C, Zhang X, Platter L. Nuclear structure effects on hyperfine splittings in ordinary and muonic deuterium[J]. Physical Review Letters, 2024, 133(4): 042502.

90
Zhang H X, Li T, Wang X. Highly nonlinear light-nucleus interaction[J]. Physical Review Letters, 2024, 133(15): 152503.

91
Loetzsch R, Beyer H F, Duval L, et al. Testing quantum electrodynamics in extreme fields using helium-like uranium[J]. Nature, 2024, 625(7996): 673- 678.

92
Kong X J, Chang Y, Zhang L D, et al. Multiphoton emission of x-rays from cooperative resonant nuclei[J]. Physical Review Research, 2025, 7(1): 013030.

93
Dickopf S, Sikora B, Kaiser A, et al. Precision spectroscopy on ${ }^{9} \mathrm{Be}$ overcomes limitations from nuclear structure[J]. Nature, 2024, 632(8026): 757- 761.

94
Bennett J. Breakthrough promises new era of ultraprecise nuclear clocks[J]. Science, 2024, 385(6713): 1031- 1032.

95
Gibney E, Thompson B. Long-sought "nuclear clocks" are one tick closer[EB/OL]. (2024-09-04)[2025-01-22]. https://www.nature.com/articles/d41586-024-02859-8.

96
Thirolf P. Shedding light on the Thorium-229 nuclear clock isomer[EB/OL]. (2024-04-29)[2025-01-22]. https://physics.aps.org/articles/v17/71.

97
Tiedau J, Okhapkin M V, Zhang K, et al. Laser excitation of the Th-229 nucleus[J]. Physical Review Letters, 2024, 132(18): 182501.

98
Zhang C K, Ooi T, Higgins J S, et al. Frequency ratio of the ${ }^{229\mathrm{m}} \mathrm{Th}$ nuclear isomeric transition and the ${ }^{87} \mathrm{Sr}$ atomic clock[J]. Nature, 2024, 633(8028): 63- 70.

99
Yamaguchi A, Shigekawa Y, Haba H, et al. Laser spectroscopy of triply charged ${ }^{229} \mathrm{Th}$ isomer for a nuclear clock[J]. Nature, 2024, 629(8010): 62- 66.

100
Pang L G, Wang X N. Bayesian analysis of nuclear equation of state at high baryon density[J]. Nuclear Science and Techniques, 2023, 34(12): 194.

101
Elhatisari S, Bovermann L, Ma Y Z, et al. Wavefunction matching for solving quantum many-body problems[J]. Nature, 2024, 630(8015): 59- 63.

102
Ma Y Z, Lin Z D, Lu B N, et al. Structure factors for hot neutron matter from $A b$ Initio Lattice simulations with high-fidelity chiral interactions[J]. Physical Review Letters, 2024, 132(23): 232502.

103
Roederer I U, Vassh N, Holmbeck E M, et al. Element abundance patterns in stars indicate fission of nuclei heavier than uranium[J]. Science, 2023, 382(6675): 1177- 1180.

104
Wright K. Lanthanum less abundant than previously thought[EB/OL]. (2024-05-17)[2025-01-22]. https://physics.aps.org/articles/v17/78.

105
Spyrou A, Mücher D, Denissenkov P A, et al. First study of the ${ }^{139} \mathrm{Ba}(n, \gamma){ }^{140} \mathrm{Ba}$ reaction to constrain the conditions for the astrophysical $i$ process[J]. Physical Review Letters, 2024, 132(20): 202701.

106
Liu W P, Guo B, An Z, et al. Recent progress in nuclear astrophysics research and its astrophysical implications at the China Institute of Atomic Energy[J]. Nuclear Science and Techniques, 2024, 35(12): 217.

107
Li J Y H, Li Y J, Li Z H, et al. Nuclear astrophysics research based on HI-13 tandem accelerator[J]. Nuclear Techniques, 2023, 46(8): 30- 42.

108
de Boer R J, Febbraro M, Bardayan D W, et al. Measurement of the ${ }^{13} \mathrm{C}(\alpha, n){ }^{16} \mathrm{O}$ differential cross section from 0.8 to $6.5 \text{ }\mathrm{ MeV}$[J]. Physical Review Letters, 2021, 132(6): 062702.

109
Hammache F, Adsley P, Lamia L, et al. Experimental determination of $\alpha$ widths of ${ }^{21} \mathrm{Ne}$ levels in the region of astrophysical interest: New ${ }^{17} \mathrm{O}+\alpha$ reaction rates and impact on the weak $s$ process[J]. Physical Review Letters, 2024, 132(18): 182701.

110
Xiong Z W, Martínez-Pinedo G, Just O, et al. Production of $p$ nuclei from $r$-process seeds: The $v r$ process[J]. Physical Review Letters, 2024, 132(19): 192701.

111
Day C. Making neutron-deficient nuclei[EB/OL]. (2024-05-09)[2025-01-22]. https://physics.aps.org/articles/v17/s56.

112
Leckenby G, Sidhu R S, Chen R J, et al. High-temperature ${ }^{205} \mathrm{Tl}$ decay clarifies ${ }^{205} \mathrm{Pb}$ dating in early Solar System[J]. Nature, 2024, 635(8038): 321- 326.

113
Sidhu R S, Leckenby G, J Chen R, et al. Bound-state beta decay of ${ }^{205} \mathrm{Tl}^{81+}$ ions and the LOREX project[J]. Physical Review Letters, 2024, 133(23): 232701.

114
Vozenin M C, Loo B W, Tantawi S, et al. FLASH: New intersection of physics, chemistry, biology, and cancer medicine[J]. Reviews of Modern Physics, 2024, 96(3): 035002.

115
Moskal P. Positron emission tomography could be aided by entanglement[EB/OL]. (2024-09-25)[2025-01-22]. https://physics.aps.org/articles/v17/138.

116
Bordes J, Brown J R, Watts D P, et al. First detailed study of the quantum decoherence of entangled gamma photons[J]. Physical Review Letters, 2024, 133(13): 132502.

文章导航

/