Papers

Research and application of quantum computing in railway transportation control

  • Ming CHAI , 1, 2 ,
  • Jialei LIANG 1 ,
  • Bo WU 3 ,
  • Xinyi ZHANG 1 ,
  • Meiling XIE 1
Expand
  • 1. School of Automation and Intelligence, Beijing Jiaotong University, Beijing 100044, China
  • 2. Beijing Laboratory for Urban Mass Transit, Beijing 100044, China
  • 3. Center for Innovation-Driven Development, National Development and Reform Commission, Beijing 100045, China

Received date: 2024-07-23

  Online published: 2025-04-11

Copyright

All rights reserved. Unauthorized reproduction is prohibited.

Cite this article

Ming CHAI , Jialei LIANG , Bo WU , Xinyi ZHANG , Meiling XIE . Research and application of quantum computing in railway transportation control[J]. Science & Technology Review, 2025 , 43(5) : 98 -106 . DOI: 10.3981/j.issn.1000-7857.2024.07.00903

随着人工智能、大数据、云计算、物联网等新兴技术的快速发展,轨道交通行业向着数字化、智能化、智慧化、绿色化方向发展,提升铁路智慧水平、提高路网总体效能、加强客货运服务体验成为了轨道交通行业发展的重要目标。但大量新兴技术在轨道交通上的应用,使调度运输、列车控制等所需要处理的信息量激增,从而对数据处理提出了更高的要求[1],经典计算方法在求解上述问题时常受到维度、求解时间等限制。
作为计算能力跨越式发展的重要探索方向,量子计算具备远超经典计算的强大并行计算潜力。量子计算机不仅可以解决经典计算机所面临的一些瓶颈问题,更重要的是,它在原理上不同于经典计算机,在解决某些难题上相比经典计算机具有压倒性的优势[2]。当前阶段,其主要应用目标是解决大规模数据优化处理和特定计算困难问题,如NP(non-deterministic polynomial)问题[3],有望为轨道交通运行控制中的大规模计算问题提供高效解决方案。
量子计算是一种利用量子叠加、量子纠缠特性进行并行计算的新型计算模式[4]。理论上,量子计算机可以在几秒钟内完成传统计算机需要数万年才能完成的复杂计算任务。量子计算技术已在材料、生物、化学、能源、金融等领域[5]发挥着重要的作用且推动着相关行业的迅速发展。
在交通运输领域,美国等已经在航空领域开展了量子计算应用场景的探索,如波音公司利用量子计算机为下一代飞机量身定做空中交通管理系统,以应对运行时的网络优化问题,并利用人工智能算法在量子计算机上的应用来提升飞机自主飞行能力;在道路交通方面,有学者已发现了量子计算在线路优化和实时计算等数据密集型优化问题上的突出优越性,可用于解决交通拥堵、优化交通路线等问题上。现有研究提出解决交通运输优化问题的量子计算框架,旨在减少计算资源。Borowski等[6]提出一种混合算法使用量子退火法来解决车辆路径问题(vehicle routing problem,VRP)及其变体问题。大众汽车公司开发基于量子路由算法的数据管理系统,由D-Wave量子计算机提供驱动,以实时计算出单独最快行驶路线,使司机能够避开沿途的交通拥堵点,甚至在出发前就能预测并使其避开交通堵塞。在轨道交通领域,德国联邦铁路网公司利用剑桥量子的最新组合优化算法(filtering variational quantum eigensolver, F-VQE)在模拟延迟后重新优化了列车时刻表;日本日立公司正在研发利用量子计算技术来自动优化列车运行计划的系统,目前可将所需多日的复杂计算过程缩短到30 min内。现有研究证明量子计算及相关算法在优化问题上的可行与高效。但是,国内量子计算应用方面的研究尚处于起步阶段,针对轨道交通领域的应用更是一片空白。
基于量子计算技术现有研究和应用,本文总结现有量子计算的研究,分析量子计算在轨道交通的潜在应用场景,并使用量子粒子群算法(quantum particle swarm optimization,QPSO)验证了量子计算在解决大规模问题时的潜力,对铁路运能和服务品质提升具有重要意义。

1 量子计算简介

量子计算是指根据量子力学原理,对量子信息单元进行控制,从而实现运算的一种新的计算方式。与传统计算相比,量子计算更多地利用了量子叠加、量子纠缠等性质,能够大幅提升计算效率。

1.1 量子比特与量子纠缠

量子比特是量子信息领域中的基本概念,类似于经典计算中的比特,是用来存储量子信息的最小单位。量子比特同经典比特的0和1一样,也具有2种基本状态,用符号|0⟩和|1⟩表示。量子比特常用布洛赫球面表示,如图 1所示。布洛赫球面是1个用于可视化量子比特状态的几何工具。它通过1个单位球面上的点来表示量子比特的纯态,其中球心代表混合态,球面上的每个点对应1个确定的量子态。球面上的经纬度用于描述量子态的具体参数,使得量子比特的状态、演化和操作可以直观地展示和分析。
量子比特除了可以单独处于|0⟩和|1⟩两种状态外,还可以同时具备这2种状态,即可以由这2个基本状态的线性组合来表示,称为量子比特的叠加。用公式表示为
(1)
式中,αβ为复数系数,表示2种状态的权重。
如果对处于叠加态的量子比特进行观测,则它会有|α|2的概率坍缩为|0⟩,有|β|2的概率坍缩为|1⟩,且概率满足关系式|α|2 +|β|2 = 1。一个量子比特可以同时处于|0⟩和|1⟩2种状态,则N个量子比特可以同时处于2N个状态,这样每进行一次量子计算,将同时对2N个数产生影响,大大提升运算效率。
量子纠缠是指2个量子比特始终处于叠加状态下,其中1个量子比特处于自旋向上的位置,则另1个量子比特将会处于自旋向下的位置,如图 2所示。因为这个特点,量子纠缠能够使2个或者更多的量子比特参与到体系中,从而进一步提高系统的运算效率。
图2 量子纠缠示意

1.2 量子门

与经典的逻辑门相似,在量子信息领域中,也存在着量子逻辑门。对于经典计算机,可以使用真值表来表示一个逻辑门的处理逻辑,量子计算机则使用矩阵来表示量子逻辑门的功能。量子比特在被量子逻辑门处理时,相当于在做矩阵乘法,将量子比特从一个状态转变为另一个状态。
与经典电路使用的逻辑门相似,在量子计算中,通过量子门 U将初态转变为终态。令N维矢量 ψi ≜(α0, α1, ..., αN−1)和ψf ≜(β0, β1, ..., βN−1)分别表示N个量子比特直积的初态和终态,量子门 UN×N矩阵Uψi = ψf
按照量子比特的个数,可以将量子逻辑门分为单量子比特门和多量子比特门。泡利门是常见的单量子比特门。泡利门共有3个,分别是X门、Y门和Z门。对于X门,类似于经典比特中的非门,X门会对量子比特的状态进行翻转,即|0⟩ → |1⟩,|1⟩ → |0⟩。XYZ门的作用可分别表示为在布洛赫球面中将量子比特绕x轴、y轴和z轴旋转了180°。当Z门作用于|0⟩状态时,将保持其状态不变;作用于|1⟩时,翻转其相位变为−|1⟩。常用的量子门还包括哈达玛门、相位门、受控非门等,如表 1所示。
表1 常用量子门
由量子门可以设计量子电路,以实现更加复杂的计算功能。量子电路如图 3所示,包含输入量子比特、量子门和测量3个环节。量子门实现对量子比特的变换。测量可视为一种特殊的量子门,其作用是将量子比特按照一定概率转换为经典比特的0或1。与传统电路中测量往往置于电路末端不同,量子测量可置于量子电路的中间步骤执行,测量结果用于控制随后的量子门。

1.3 量子计算算法

量子计算具有并行性,可以大幅度提升传统计算的速度,量子计算算法的出现,让量子计算可以更好地辅助传统计算。
常见的量子计算算法如表 2所示[1, 612]。目前影响力较大的量子算法包括面向大数质因子分解的Shor算法[7]、面向无序搜索的Grover算法[8],以及面向线性方程求解的HHL(harrow-hassidim-lloyd)算法[9]。量子机器学习算法也受到越来越多的关注,其旨在发挥量子计算的可并行性优势,对传统的机器学习算法进行性能优化,突破现有的计算瓶颈。但是,现有量子计算尚停留在基础算法层面,如何将其应用于实际问题尚未不明确。
表2 常见的量子计算算法总结

2 量子计算在轨道交通运输控制的潜在应用

2.1 行车调度组织优化

轨道交通是一种根据计划的运输方式,列车按照计划运行图在规定的时间从一个车站出发,并按时抵达下一车站。如何将有限的线路资源分配给更多的列车,提升路网总体效能是轨道交通运输控制的重要问题。
在列车运行中,受到基础设施故障、人员操作失误、极端恶劣天气等影响,可能导致列车延误,从而影响运行图的执行。随着铁路运输压力不断增大,运行图编制时预留的列车运行调整裕量缩小,降低了运行图弹性;同时车辆、线路磨损消耗显著增加,设备可靠性大幅降低,故障导致的延误频次呈增加态势。上述因素导致列车延误的扩散效应显著,影响轨道交通运营效率,严重时甚至危害行车安全。
随着计算机、人工智能、大数据等使能技术的发展,现代化轨道交通已逐步发展为高度自动化系统,行车指挥、列车防护和自动驾驶等功能已集成在列车自动运行控制系统中,可实现正常情况下自动完成行车组织和列车运行控制,如图 4所示。但是,当出现异常时,由于延误致因、种类、影响等复杂情况,列车晚点自动调整功能仍无法满足实际运营需求,需要采用人工调整手段。由于人工调整依赖调度员自身能力和经验,工作量大,调整效果难以得到保证。
图4 列车调度指挥示意
轨道交通调度指挥和列车运行控制一体化的行车规划受到国内外学者的广泛关注,其核心思想是在运行计划编制和调整时考虑宏观(路网运输情况)、中观(车站设备状态)和微观(列车运行控制)要素,受到车辆资源、线路资源、司机资源等约束,模型具有并发、大规模、通信、计算、决策、规划、控制、实时、多变、高不确定性、软硬件紧密结合等多种特征,具有离散与连续、时间与空间、同步与异步等交织耦合产生的多种复杂特性,是一类离散多约束下的多目标优化问题。该问题在数学上具有NP难的计算复杂度,随着问题规模的增大,其变量和约束条件呈指数级增长,模型难以求解,使得该问题始终是运行图优化问题的难点[13]
针对量子优化和传统优化方法的比较,Domino等[14]已经将量子退火法运用于铁路重新调度和优化问题,证明了量子计算技术对传统计算方法的加速及在轨道交通领域应用的可能性。
量子计算硬件也在不断发展进步,相干伊辛机(coherent Ising machine,CIM)的出现为解决列车调度问题中的组合优化问题提供了新的思路。CIM技术的优势在于其能够处理大规模的离散优化问题,同时利用量子计算方法,加速求解过程并在复杂条件下寻找最优解。为了采用该方法求解,首先需要将模型转化为二次无约束二进制优化(quadratic unconstrained binary optimization,QUBO)模型,然后进一步将QUBO模型转化为伊辛模型,进一步采用相干伊辛真机对其进行求解[15]
QUBO问题要求在所有可能的二进制变量组合中找到使目标函数最小化的解,这涉及到指数级的搜索空间,将会使问题复杂且计算资源需求高,求解QUBO问题的难度与解决已知的NP难问题的难度相当。
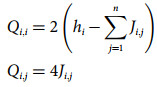
伊辛模型最初为微观上解释磁性现象而被引入,它可以处理一个二元变量si∈ {+1,-1},N个这样的变量组成一组向量S∈ {+1,-1}N,其能量函数模型的数学形式为
(2)
式中,(V, E)是一个由顶点 V表示自旋、边 E定义自旋相互作用的图,Ji, j表示相互作用的强度,hi表示在自旋i处的外磁场。
在数学规划中,处理0-1变量通常更为方便。通过引入新的决策变量X∈{0, 1}N使得
(3)
(4)
则能量函数的最小化相当于求解QUBO问题
(5)
通过建立合适的QUBO模型,将列车调度问题转化为能量最小化问题,并应用CIM技术进行优化求解。这种方法不仅有助于减少列车运行的延误和能源消耗,还能优化列车运行的整体效能,提升交通网络的整体运行效率。
混合量子-经典算法在铁路调度方面展示了巨大的潜力[16]。这种方法利用量子计算机和经典计算机的协同作用,各自发挥优势以提升计算效率。系统中同时包含量子计算机和经典的CPU/GPU计算单元。量子计算机负责制备和测量相应的量子态,而经典计算机则分析测量结果并调整量子计算部分的可调参数,通过反复迭代来逐步优化,最终得出最优解决方案。通过将调度问题转化为量子优化问题(如QUBO模型),再利用经典计算资源与量子计算的结合优势,可以更快速、更精确地找到最优解决方案。

2.2 列车自动运行控制

伴随着列车运行密度的不断加大,以及运行速度的不断提高,人工驾驶列车已经很难满足高效安全运营的需求,提高列车运行自动化程度是大势所趋。列车自动运行控制系统通过规划和调控列车速度实现自动驾驶,目前在城市轨道交通中广泛应用。
目前针对高速铁路和重载列车的自动运行控制研究尚处于起步阶段。高速铁路站间距离长、行车跨度大、运行环境复杂多变,列车运行过程中运行动力学特征复杂多变,同时高速铁路线路中存在大量分相区、弯道区、隧道等“特殊点”,需针对性规划驾驶策略。重载铁路车体长、质量大,制动系统风压传播机理复杂,启动时容易空转、停车时容易打滑,运行中制动后又无法快速缓解制动,在计算列车运行速度曲线时必须根据列车的实际运行情况和线路情况合理使用牵引和制动,并对牵引控制和制动反馈实施准确有效的响应[17]。同时,重载列车通常使用多机车牵引,各动力机车运行状态不同、线路条件不同(坡道、曲率等),协同控制存在困难。
高速铁路和重载铁路的优化控制模型具有时变、非线性特征,提升了模型求解的复杂度,而控制器的实时性要求模型能够快速求解。一般地,列车自动运行控制系统的控制周期为200 ms,由于控制器需要处理的业务量大,模型求解时间不宜超过几十毫秒。当前列车自动控制系统在快速求解模型方面通常采用边值思想,对模型进行大量简化处理,以便高效计算。然而,这种简化可能无法充分反映实际运行中的复杂约束条件。量子计算技术的引入有望改变这一局面,它能够处理高维度、复杂约束条件下的优化问题,从而显著提升求解效率。通过量子计算,列车运行控制系统将能够处理更符合实际情况的复杂控制模型,这不仅能够大幅优化列车的速度规划,还能提高控制的精确性,为实现更高级的列车智能驾驶奠定坚实的基础,因此具有重要的意义。

2.3 列车群组的动态编解

当前铁路存在高峰拥堵、平峰空载现象,运输需求与运力不匹配问题严重。为解决该问题,国内外学者开始研究虚拟编组技术。相较于传统基于机械联挂的固定编组列车,虚拟编组列车通过无线通信和列车自动控制等技术将两列或多列列车联挂在一起形成列车群组,如图 5所示。群组内列车保持小且稳定的追踪间隔,同步进行站台作业,地面行车调度指挥系统将列车群组视为一列完整列车分配线路资源和行车计划。虚拟编组可灵活地根据运输需求在列车运行过程中编组和解编,被认为是实现“运能零浪费”的有效技术途径[18]
图5 虚拟编组车队示意
虚拟编组列车在道岔处编组和解编需要考虑轨道道岔、进路防护及列车状态等复杂约束条件,采用预先设定的固定编组和解编策略可能导致编组解编效率低下、无法形成编组等问题,成为制约虚拟编组运力进一步提升的瓶颈。因此,如何根据列车运行状态和线路条件在线生成列车通过道岔编组和解编运行策略,提高编组解编效率,是虚拟编组实际应用中面临的关键问题。有学者提出利用博弈论方法生成优化列车通过道岔编组/解编策略,并利用改进粒子群算法提升了列车群组编解效率[19]
群组列车动态编组解编过程受到列车动力学、控制命令、道岔动作、股道占用、联锁关系等约束,对拟编组或解编的各列车,策略选择方式及各车策略的组合方式存在无数可行解,随着问题规模的增大,策略取值和约束条件数量指数式增长,求解时间复杂度高。当前主要优化算法仅能支持较小规模模型的求解。针对大规模复杂路网场景时,模型维度迅速提升,算法容易出现陷入局部最优问题。
量子计算的优势在于其可以并行在指数级加速计算,解决现有算法在维度数量上的限制。例如,QPSO突破了传统粒子群算法的粒子运动概念,使粒子具有量子物理特性,提升了优化算法的求解效率。将量子计算的技术运用于大规模复杂路网中的虚拟编组列车编组解编策略优化,可有效提升虚拟列车编组解编效率,进一步释放该技术的运力提升潜力,具有重要的实际意义。

3 量子计算算法实验分析

3.1 QPSO的仿真实验

以传统粒子群算法(particle swarm optimization,PSO)与QPSO的对比为例,分析量子计算在密集型数据优化问题中的优越性。Ackley函数是由指数函数加上放大的余弦函数所得的一种连续型实验函数,由David Ackley在1987年提出。该函数通常被用作优化算法的测试,以评估算法的性能和收敛速度,验证算法寻找全局最优解的能力。由于Ackley函数具有多个局部极小值,因此,在算法寻优过程中容易陷入局部最优解,对于优化算法具有挑战性。测试函数的表达式
(6)
式中,通常取a = 20,b = 0:2,c = 2πd为自变量x的维度数,为方便绘图在本节取d = 2。
该函数在x = 0处具有全局最小值,f(x) = 0,QPSO算法对Ackley测试函数的寻优过程如图 6所示。为了测试QPSO算法的全局收敛速度,将粒子数目分别设置为40、60和80,迭代次数设置为20、30、50和100,每组参数分别测试1000次,计算每组优化结果的中值,以评估相应参数测试组的整体优化效果,测试结果如表 3所示。
图6 QPSO对Ackley测试函数的寻优过程
表3 测试结果
结果可以看出,在粒子数目较多时,量子计算可以加快粒子群收敛速度,在同样的迭代次数内获得更优解,如图 7所示。当优化问题具有较高复杂度时,其仍可发挥较好的性能而较少地受到维度过大的限制,提升现存算法的求解效率。
图7 设置参数对算法结果的影响

3.2 分析与讨论

上述实验可以看出,QPSO算法能够用更少的粒子数和迭代次数达到与PSO算法相同的优化效果。当问题规模庞大时,QPSO算法具有显著优势。针对轨道交通大规模路网的列车运行规划与调整、列车智能驾驶控制与决策、群组列车编组解编策略优化等大规模离散约束下的优化问题,量子算法展现了良好的应用潜力。
QPSO算法可以应用于多个领域:在金融工程中,可以优化投资组合的配置以最大化回报或最小化风险;在网络优化中,可以优化网络布局和资源分配;在工程设计中,可以用来优化结构参数,如建筑物或机械结构的设计,提高生产过程的效率和质量控制;在控制系统设计中,可用于找到系统的最优参数配置,改进系统的响应和性能。
安全是铁路运输的生命线,如何保障量子计算输出结果的安全性与可靠性是量子计算技术应用于轨道交通领域必须解决的问题,现有研究尚未涉及量子计算求解结果安全性的证明,其是否能真正适用仍需进一步研究。且量子比特与环境的相互作用会导致量子比特的退相干,从而可能使量子比特失去相干特性,量子的优势减弱。量子系统较为脆弱,温度、磁场或电场的任何轻微变化都会导致量子信息退化,量子计算在轨道交通工业化应用的过程中,算法的量子硬件集成需要整体考虑。现有量子计算的基础研究尚停留在基础算法层面,如何利用基础算法求解实际问题尚不明确。当前量子计算机(如退火机)仅能求解特定问题,针对大规模离散约束优化问题的量子计算机或通用量子计算机将进一步释放量子计算对大规模铁路网络的行车组织优化及控制的赋能能力。

4 结语

量子计算技术由于其卓越的计算性能,为轨道交通的跨越式发展带来了新的思路和方法,有望解决当前行业面临的诸多问题,推动轨道交通进一步向着数字化、智能化、智慧化、绿色化发展,提升运输服务质量和运输效率。但其目前仍处于概念研究和关键技术攻关阶段,整体研究发展水平距离实用化仍有距离,且由于量子操作相干性短、不可靠,如何保障输出结果的安全性也是量子计算应用于轨道交通领域必须解决的问题,但一旦量子计算技术突破技术难关,必将带来巨大的技术变革。在今后的研究工作中,应继续关注量子计算技术的发展,制定明确的战略发展目标,推动量子计算在铁路运输领域的技术和应用创新,做好量子计算技术研究的长期规划。
1
葛伟涛. 铁路5G网络边缘计算技术研究[J]. 铁路通信信号工程技术, 2023, 20(2): 33-36, 67.

2
韩永建, 李传锋, 郭光灿. 量子计算原理及研究进展[J]. 科技导报, 2017, 35(23): 70- 75.

3
张海懿, 崔潇, 吴冰冰. 量子计算技术产业发展现状与应用分析[J]. 信息通信技术与政策, 2020(7): 20- 26.

4
杨子怡, 文鹏程, 李运喜, 等. 量子计算技术在航空领域的应用分析[J]. 中国新通信, 2023, 25(7): 50- 52.

5
王敬, 李红阳, 赵文玉. 量子计算技术研究及应用探索分析[J]. 信息通信技术与政策, 2022(7): 20- 27.

6
Borowski M, Gora P, Karnas K, et al. New hybrid quantum annealing algorithms for solving vehicle routing problem[M]//Lecture Notes in Computer Science. Cham: Springer International Publishing, 2020: 546-561.

7
Shor P W. Algorithms for quantum computation: Discrete logarithms and factoring[C]//Proceedings 35th Annual Symposium on Foundations of Computer Science. Santa Fe, NM, USA: IEEE, 1994: 124-134.

8
Grover L K. A fast quantum mechanical algorithm for database search[C]//Proceedings of the Twenty-eighth Annual ACM Symposium on Theory of Computing-STOC'96. New York: ACM, 1996: 212-219.

9
Harrow A W , Hassidim A , Lloyd S . Quantum algorithm for linear systems of equations[J]. Physical Review Letters, 2009, 103(15): 150502.

DOI

10
Apolloni B , Carvalho C , de Falco D . Quantum stochastic optimization[J]. Stochastic Processes and Their Applications, 1989, 33(2): 233- 244.

DOI

11
Sun J, Feng B, Xu W B. Particle swarm optimization with particles having quantum behavior[C]//Proceedings of the 2004 Congress on Evolutionary Computation (IEEE Cat. No. 04TH8753). Portland, OR, USA: IEEE, 2004: 325-331.

12
Panella M , Martinelli G . Neural networks with quantum architecture and quantum learning[J]. International Journal of Circuit Theory and Applications, 2011, 39(1): 61- 77.

DOI

13
阴佳腾. 基于近似动态规划的城轨列车运行一体化调整方法研究[D]. 北京: 北京交通大学, 2018.

14
Domino K , Kundu A , Salehi Ö , et al. Quadratic and higherorder unconstrained binary optimization of railway rescheduling for quantum computing[J]. Quantum Information Processing, 2022, 21(9): 337.

DOI

15
Zhang H X , Hua J C , Chen X Z , et al. High-speed train timetable optimization based on space-time network model and quantum simulator[J]. Quantum Information Processing, 2023, 22(11): 418.

DOI

16
陈然一鎏, 赵犇池, 宋旨欣, 等. 混合量子-经典算法: 基础、设计与应用[J]. 物理学报, 2021, 70(21): 36- 51.

17
朱贺田. 货运列车自动驾驶关键技术研究[J]. 铁路通信信号工程技术, 2020, 17(6): 20- 23.

18
唐涛, 罗啸林, 刘宏杰, 等. 城轨列车虚拟编组安全防护与运行控制技术研究进展[J]. 科技导报, 2023, 41(10): 31- 42.

19
Wang Q , Chai M , Liu H J , et al. Optimized control of virtual coupling at junctions: A cooperative game-based approach[J]. Actuators, 2021, 10(9): 207.

DOI

Outlines

/